✈️ Beneficios Exclusivos para Lectores
Códigos verificados para ahorrar en tu próximo viaje.
La Organización de Aviación Civil Internacional – OACI hizo públicas sus preocupaciones a la seguridad operacional relativa a los servicios de navegación de Ecuador.
Tras la auditoría a la seguridad operacional realizada por ICAO al Ecuador entre el 4 y 18 de septiembre de 2023 pasado, la organización internacional encontró dos SSC de preocupación y que con fecha 22 de noviembre de 2023 siguen sin resolverse.
Cabe indicar, que esta auditoria fue aprobada por el Consejo de la OACI en su sesión 179 como mecanismo para abordar las preocupaciones significativas de seguridad operacional SSC detectadas por el organismo. Según este mecanismo, todas las SSC detectadas y que no hayan sido solucionadas deben ser notificadas a todos los 187 Estados miembros, acción que ya fue realizada.
Auditoría OACI – Preocupaciones a la seguridad operaciones del Ecuador
Concretamente, las preocupaciones encontradas son las siguientes:
- La Dirección Nacional de Aviación Civil (DAC) ha promulgado el reglamento 210 «Telecomunicaciones Aeronáuticas», en el cual se prescriben los periodos de ensayo de radioayudas de conformidad con el Documento 8071 de la OACI — Manual sobre ensayo de radioayudas para la navegación, Volumen I Ensayo de sistemas de radionavegación de base terrestre.A pesar de las múltiples comunicaciones de vigilancia de la entidad de seguridad operacional emitidas alertando sobre la recurrente expiración en los plazos requeridos para los vuelos de inspección, el Estado ha permitido mantener en operación la totalidad de las radioayudas asociadas a operaciones internacionales sin las respectivas verificaciones en vuelo con la periodicidad prescrita en el citado reglamento 21
- Medidas correctivas inmediatas: Ecuador debería retirar temporalmente del servicio todas las ayudas para la navegación asociadas a las operaciones internacionales cuya periodicidad de inspección en vuelo haya caducado de acuerdo con los plazos previstos en el reglamento 210; hasta que se realicen las inspecciones de vuelo correspondientes y la respectiva unidad de vigilancia de la seguridad operacional valide sus resultados.
- La Dirección Nacional de Aviación Civil (DAC) ha promulgado el reglamento 211 «Servicios de Transito Aéreo», en el cual se prescribe la utilización de los criterios de diseño para el diseño de procedimientos de vuelo de conformidad con el Documento 8168 de la OACI — Procedimientos para los servicios de navegación Aérea — Operación de aeronaves, Volumen II —Construcción cle procedimientos de vuelo visual y por instrumentos.Sin embargo, no existe un proceso de aprobación que asegure que los procedimientos de vuelo por instrumentos (IFP) se ajusten a los criterios promulgados por el Estado y que los IFP cumplan con las medidas de control de la calidad del proceso.Adicionalmente. no hay evidencia de validación en vuelo de los procedimientos como parte del desarrollo inicial y tampoco como parte de los exámenes periódicos para confirmar, entre otros, que el franqueamiento de obstáculos es adecuado.
- Medidas correctivas inmediatas: Ecuador debería suspender todos aquellos IFP cuya validación en vuelo no se haya realizado en los últimos 5 años; hasta que asegure que los IFP están diseñados de conformidad con los criterios del Estado y que se cumplen con las medidas de control de la calidad del proceso (incluida la validación en vuelo respecto a la verificación de franqueamiento de obstáculos).
- Medidas correctivas a corto plazo: Ecuador debería establecer e implementar un proceso de aprobación que asegure que los IFP están diseñados de conformidad con los criterios del Estado y que se cumplen con las medidas de control de la calidad del proceso (incluida la validación en vuelo respecto a la verificación de franqueamiento de obstáculos).
Las acciones realizadas por Ecuador
Cabe indicar que Ecuador vía la autoridad aeronáutica, presentó las medidas correctivas propuestas para iniciar su cumplimiento desde el 10 de octubre pasado.
Para conocer más detalles de lo hecho ya por el estado ecuatoriano, entrevisté en exclusiva a William Birkett Director General de Aviación Civil del Ecuador, quien nos compartió más detalles de este proceso y las medidas tomadas por la DGAC:
Si estas siguen sin resolverse transcurridos 90, serán publicadas en la web de ICAO de forma permanente y pública.
Importante recalcar que pese a estos descubrimientos, la operación y seguridad aérea en Ecuador están garantizadas, con temas a corregir, pero para tranquilidad de los viajeros los profesionales responsables están altamente capacitados para sus funciones.
¿Cuáles son las implicaciones posibles para Ecuador?
Es conocido que las auditorias de la OACI al hacerse públicas en sus sistemas, generan que las agencias internacionales de aviación conozcan de la situación y puedan generar recomendaciones para sus aerolíneas. Una de ellas sin duda podría ser la FAA, la cual como sabemos y hemos visto en recientes casos como fue con México, tras una auditoria propia tomó la decisión de degradar a Categoría II a este país, que implicó un freno por más de 2 años al desarrollo de rutas y destinos con Estados Unidos.
Sin duda, este punto es el de mayor preocupación para el desarrollo de rutas de nuestro país, que de darse, frenaría el desarrollo de nuevas rutas hacia Estados Unidos de las aerolíneas ecuatorianas interesadas.
¿Qué es la auditoria de la OACI – USOAP?
El Programa universal de auditoría de la vigilancia de la seguridad operacional (USOAP) es un programa a través del cual la OACI monitorea el cumplimiento de las obligaciones de vigilancia de la seguridad operacional por parte de sus Estados miembros. Los resultados de las actividades del USOAP permiten a la OACI evaluar la capacidad de un Estado para brindar vigilancia de la seguridad operacional al evaluar si el Estado ha implementado de manera eficaz y consistente los ocho elementos críticos (CE) de un sistema de vigilancia de la seguridad operacional, que le permiten al Estado garantizar la implementación de los objetivos de seguridad operacional de la OACI. -Normas y prácticas recomendadas (SARPS) relacionadas y procedimientos y material de orientación asociados.
Las ocho áreas de auditoría del sistema de aviación de un Estado miembro que supervisa el programa son:
- Legislación primaria de aviación y reglamentos de aviación civil (LEG)
- Organización de Aviación Civil (ORG)
- Licenciamiento y capacitación de personal (PEL)
- Operaciones de aeronaves (OPS)
- Aeronavegabilidad de aeronaves (AIR)
- Investigación de accidentes e incidentes de aviación (AIG)
- Servicios de Navegación Aérea (ANS)
- Aeródromos y Ayudas Terrestres (AGA)
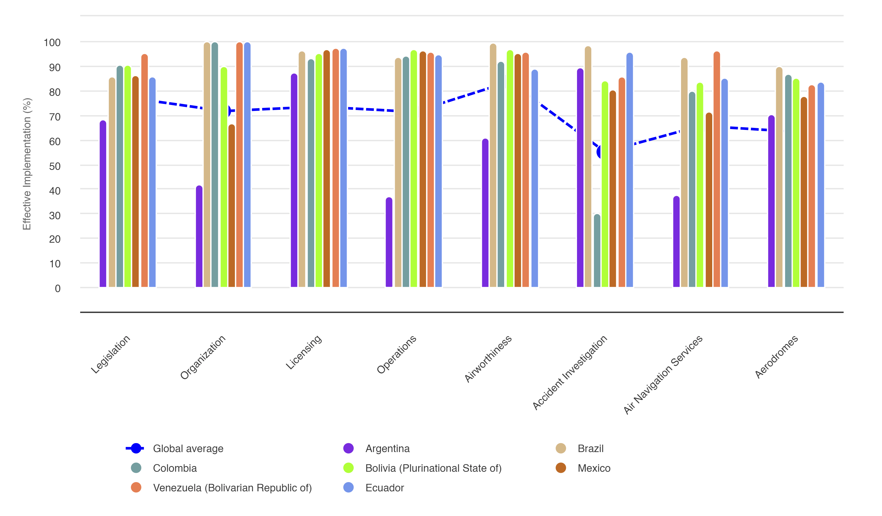
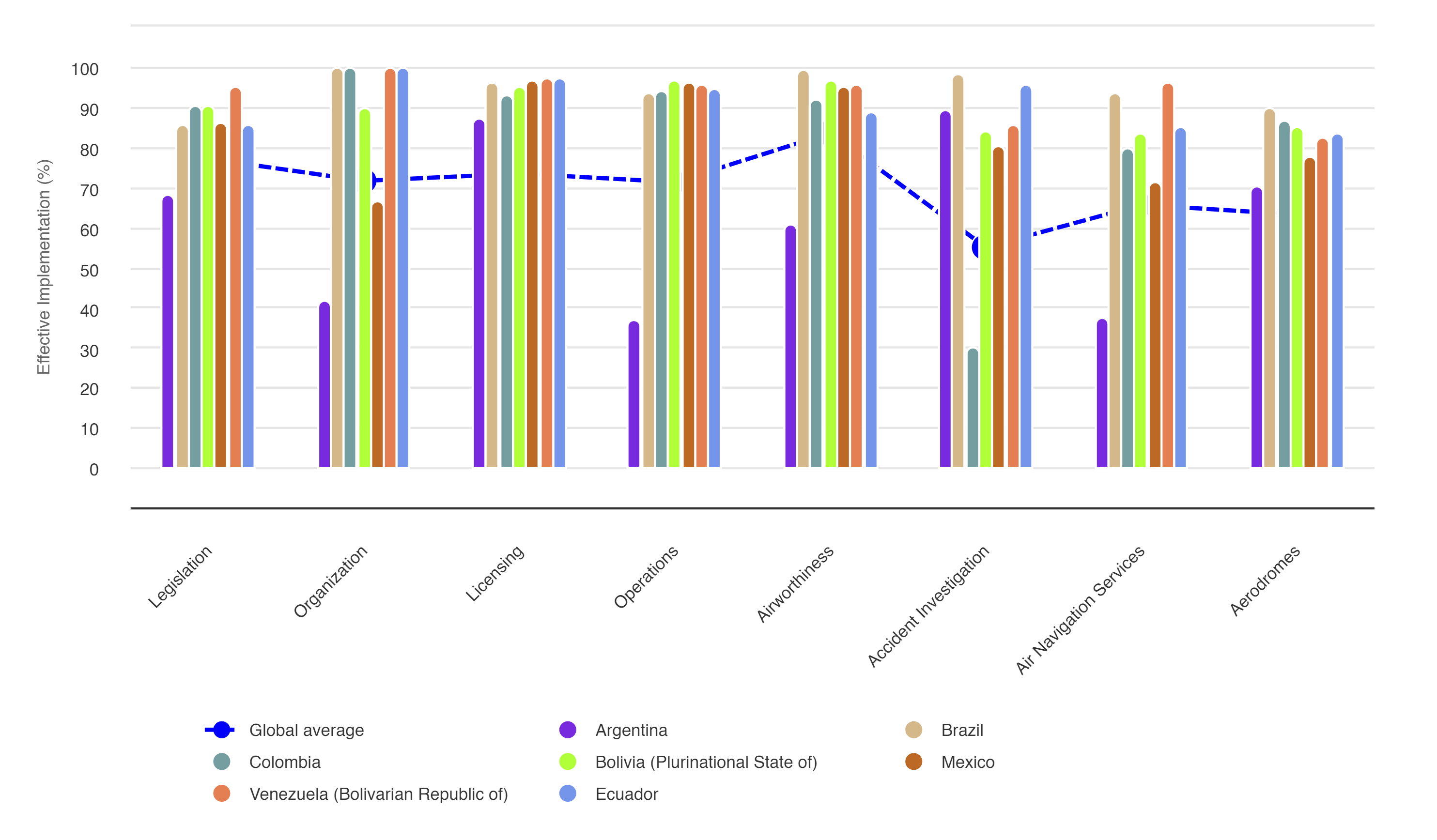
Auditorías pasadas
Como referencia, comparto con ustedes cómo le fue a Ecuador en su última auditoría OACI que se realizó en el año 2015:

Hasta el momento, el resultado no se ha publicado de manera definitiva en la web de ICAO, por lo que por ahora comparto los datos 2015, versus otros países de la región, donde Argentina, Brasil y Colombia ya fueron parte de la misma:

Es importante aquí indicar que esta auditoría no determina que Ecuador vaya a perder la Categoría I, pero sí pone en alerta a otros estados miembros de OACI, quienes como Estados Unidos, podrían generar acciones adicionales que afectarían a nuestro país en caso de concretarse y no haberse solventado.
Seguiremos informando según nueva información se conozca de esta auditoria y de una potencial visita de la FAA para revisión de estas preocupaciones encontradas por parte de la OACI.
✈️ Beneficios Exclusivos para Lectores
Busca aquí hoteles en TODO el mundo al mejor precio.





Y eso que falta los resultados de las auditorias (FGE) muchos se van de las instituciones publicas y dejan problemas, como de seguro el ex director, lo de las compras publicas deben cambiar o desaparecer ya que se creo con el afan de poner control pero ha sucumbido a la corrupcion tambien, dios no quiera que pase algo lamentable para ahi recien tomen conciencia de lo que tienen que hacer
Gracias por tu aporte.
y eso es poco, existe una pesima administración en la dac y poco les ha interesado a las autoridades solucionar los problemas. El personal técnico debe seguir juicios para que sus derechos sean reconocidos, basta revisar la página de la judicatura para saber todos los juicios en contra de la dsc. Falta de personal técnico en todas las áreas, sistemas y equipamientos que ya no sirven o tienen serias fallas. Se obliga al personal técnico a trabajar con todas las fallas en sistemas y equipamientos, sin importarles la seguridad aérea. La absurda excusa de que los servicios de navegación aérea no se pueden suspender pese a las fallas en sistemas de radares, frecuencias aeronáuticas, y radioaydas está llevando a qué ocurra un accidente aéreo. Gente con poco conocimiento aeronáutico ocupando altos cargos, bachilleres o tecnológos ocupando puestos de directores, coordinadores, jefes de aeropuertos, etc. todo es designado a dedo o por palancas políticas. Seguro la OACI conoce todo eso y ojalá se tomen medidas drásticas, mucha gente vaga en la dac que ni siquiera pasan en sus puestos de trabajo y solo se dedican a designar tareas y si no se cumple lo amenazan o sancionan. En beneficio de la aviación sería bueno que las auditorías a la dac sean más seguidas y a todo nivel.
Gracias por tu aporte.
la corrupción en la dac es terrible, qué se podía esperar.
Agradezco tu aporte, pero podrías ampliar tu acusación para conocerla a profundidad?
y eso es nada comparado a todas las irregularidades administrativas, personal técnico que sigue juicios para que se reconozcan sus derechos, falta de personal en las áreas técnicas como en meteorología, ais, tránsito aéreo, operaciones, etc. sistemas y equipos que no funcionan o tienen deficiencias como las frecuencias aeronáuticas que sirve para comunicarse con los pilotos, radioayudas con constantes fallas, radares con fallas permanentes, y pese a que se han notificado y pedido soluciones poco caso han hecho las autoridades de la DGAC, la seguridad se ha degradado terriblemente por la gestión deplorable de todas las autoridades que con la excusa de mantener el servicio siempre operable obligan a trabajar con todas las fallas en sistemas, equipos, sin importar el factor humano, capacidades, etc. una institución que se ha llenado de corrupción y el riesgo de que ocurra un accidente aéreo es alto, todo por la negligencia de todas las autoridades, que incluso muchos ni siquiera tienen la preparación académica, bachilleres o tecnologos ocupando puestos de directores, coordinadores etc, y en algunos casos con poco conocimiento aeronáutico, designaciones a dedo o designados por palancas políticas. se ha llenado de gente vaga que ni siquiera pasan en sus puestos de trabajo y solo designan tareas y si no se cumple lo sancionan o amenazan. Lastimosamente así es la realidad y ojalá no ocurra un accidente aéreo para que todo salga a la luz aunque seguro la OACI tiene conocimiento de toda esta problemática y ojalá tome acciones para combatir tanta negligencia.
Saludos y gracias por tu comentario.