✈️ Exclusive Benefits for Readers
Verified codes to save on your next trip.
The International Civil Aviation Organization – OACI made public its operational safety concerns regarding navigation services Ecuador.
Following the operational safety audit carried out by ICAO at Ecuador between 4 and 18 September 2023 last, The international organization found two SSCs of concern and that dated 22 November 2023 remain unresolved.
It should be noted, that this audit was approved by the ICAO Council in its session 179 as a mechanism to address significant SSC operational safety concerns identified by the agency. According to this mechanism, All SSCs detected and not resolved must be notified to all stakeholders. 187 member states, action that has already been carried out.
ICAO Audit – Security concerns for Ecuador's operations
concretely, The concerns found are the following:
- The National Directorate of Civil Aviation (DAC) has promulgated the regulation 210 «Aeronautical Telecommunications», in which radio aid test periods are prescribed in accordance with the Document 8071 ICAO — Manual on Testing of Radio Navigation Aids, Volume I Test of land-based radionavigation systems. Despite the multiple surveillance communications issued by the operational safety entity alerting about the recurring expiration of the deadlines required for inspection flights, The State has allowed all radio aids associated with international operations to be kept in operation without the respective in-flight verifications with the periodicity prescribed in the aforementioned regulation. 21
- Immediate corrective measures: Ecuador should temporarily withdraw from service all navigation aids associated with international operations whose in-flight inspection periodicity has expired in accordance with the deadlines provided in the regulations. 210; until the corresponding flight inspections are carried out and the respective safety oversight unit validates its results.
- The National Directorate of Civil Aviation (DAC) has promulgated the regulation 211 «Air Traffic Services», which prescribes the use of design criteria for the design of flight procedures in accordance with the Document 8168 ICAO — Procedures for Air Navigation Services — Aircraft Operation, Volume II—Construction of visual and instrument flight procedures. However, There is no approval process to ensure that instrument flight procedures (IFP) comply with the criteria promulgated by the State and that the IFPs comply with the quality control measures of the process. Additionally. there is no evidence of in-flight validation of the procedures as part of the initial development or as part of the periodic examinations to confirm, among others, that obstacle clearance is adequate.
- Immediate corrective measures: Ecuador should suspend all those IFPs whose in-flight validation has not been carried out in the last 5 years; until it ensures that the IFPs are designed in accordance with the State's criteria and that the process quality control measures are met (including in-flight validation regarding obstacle clearance verification).
- Short-term corrective measures: Ecuador should establish and implement an approval process that ensures that IFPs are designed in accordance with the State's criteria and that process quality control measures are met. (including in-flight validation regarding obstacle clearance verification).
The actions carried out by Ecuador
It should be noted that Ecuador via the aeronautical authority, presented the proposed corrective measures to begin compliance from the 10 last october.
To know more details of what has already been done by the Ecuadorian state, I interviewed exclusively William Birkett Director General of Civil Aviation of Ecuador, who shared more details of this process and the measures taken by the DGAC:
If these remain unresolved after 90, They will be published on the ICAO website permanently and publicly..
It is important to emphasize that despite these discoveries, Air operations and safety in Ecuador are guaranteed, with issues to correct, But for the peace of mind of travelers, the responsible professionals are highly trained for their functions..
What are the possible implications for Ecuador?
It is known that ICAO audits, when made public in their systems,, They ensure that international aviation agencies are aware of the situation and can generate recommendations for their airlines.. One of them could undoubtedly be the FAA, which, as we know and have seen in recent cases as it was with Mexico, After its own audit, it made the decision to demote Category II to this country, which involved a brake for more than 2 years to the development of routes and destinations with USA.
Definitely, This point is the one of greatest concern for the development of routes in our country, what to give, would slow down the development of new routes to USA of interested Ecuadorian airlines.
What is the ICAO audit – USOAP?
The Universal Safety Oversight Audit Program (USOAP) is a program through which ICAO monitors compliance with safety oversight obligations by its Member States.. The results of USOAP activities allow ICAO to assess a State's ability to provide safety oversight by assessing whether the State has effectively and consistently implemented the eight critical elements. (CE) of an operational safety surveillance system, that allow the State to guarantee the implementation of ICAO operational safety objectives. -Standards and recommended practices (SARPS) related and associated procedures and guidance material.
The eight audit areas of the aviation system of a Member State that oversees the program are:
- Primary aviation legislation and civil aviation regulations (LEG)
- Civil Aviation Organization (ORG)
- Licensing and training of personnel (PEL)
- Aircraft operations (OPS)
- Aircraft airworthiness (AIR)
- Investigation of aviation accidents and incidents (AIG)
- Air Navigation Services (ANS)
- Aerodromes and Ground Aids (BUT)
Past audits
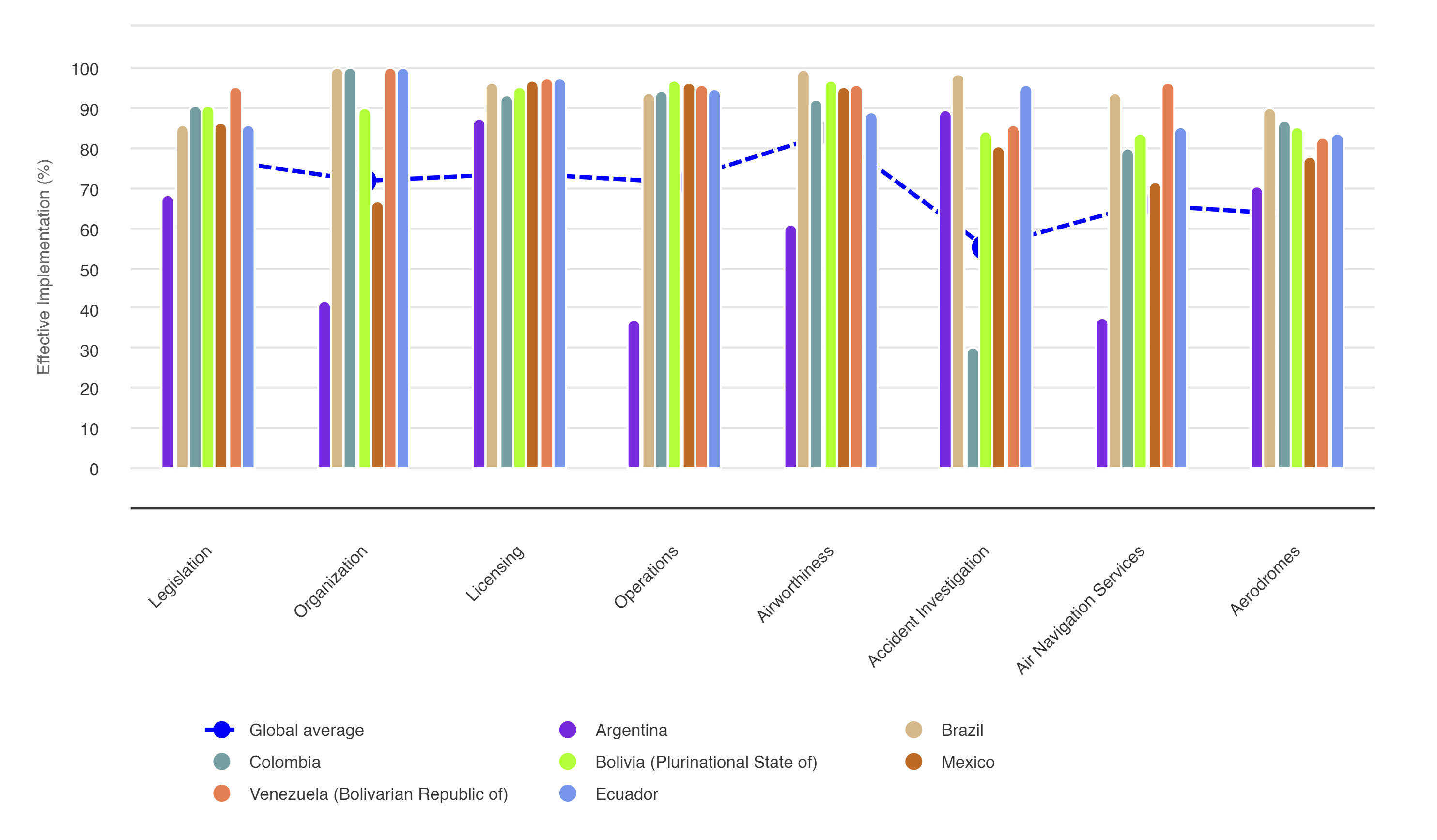
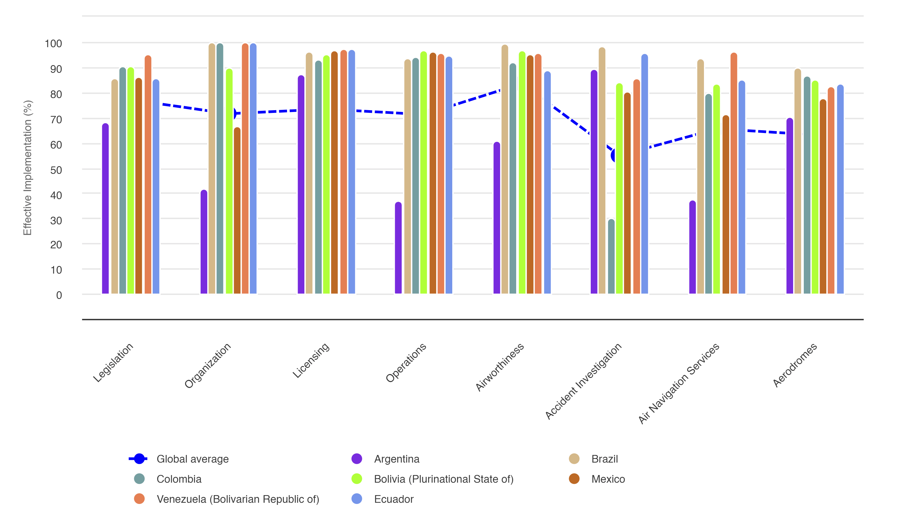
As reference, I share with you how Ecuador did in its last ICAO audit that was carried out in the year 2015:

Until now, The result has not been definitively published on the ICAO website, so for now I share the data 2015, versus other countries in the region, where Argentina, Brazil and Colombia were already part of it:

It is important here to indicate that this audit does not determine that Ecuador is going to lose Category I, but it does put other ICAO member states on alert, who like USA, could generate additional actions that would affect our country if they were carried out and had not been resolved..
We will continue to inform you as new information becomes known about this audit and a potential visit from the FAA for review of these concerns found by the OACI.
✈️ Exclusive Benefits for Readers
Search here for hotels ALL over the world at the best price.





And the results of the audits are missing (FGE) many leave public institutions and leave problems, as surely the former director, Public procurement must change or disappear since it was created with the desire to put control but it has also succumbed to corruption., God forbid that something unfortunate happens so that they may become aware of what they have to do.
Thanks for your input.
and that is little, There is a terrible administration in the DAC and the authorities have had little interest in solving the problems. Technical personnel must follow trials so that their rights are recognized, Just check the judiciary page to find out all the trials against the DSC. Lack of technical personnel in all areas, systems and equipment that no longer serve or have serious flaws. Technical personnel are obliged to work with all failures in systems and equipment, without caring about air safety. The absurd excuse that air navigation services cannot be suspended despite failures in radar systems, aeronautical frequencies, and radio aids is leading to a plane crash. People with little aeronautical knowledge occupying high positions, high school graduates or technologists occupying director positions, coordinators, airport bosses, etc. everything is designated by finger or by political levers. Surely the ICAO knows all this and I hope drastic measures are taken, Many people are lazy in the DAC who do not even spend time at their jobs and are only dedicated to assigning tasks and if they are not fulfilled they threaten or sanction them.. For the benefit of aviation, it would be good for DAC audits to be more followed and at all levels..
Thanks for your input.
corruption in the dac is terrible, what could be expected.
I appreciate your contribution, but you could expand your accusation to know it in depth?
and that is nothing compared to all the administrative irregularities, technical personnel who follow trials so that their rights are recognized, lack of personnel in technical areas such as meteorology, ais, air traffic, operations, etc. systems and equipment that do not work or have deficiencies such as the aeronautical frequencies used to communicate with pilots, radio aids with constant failures, radars with permanent faults, and despite the fact that solutions have been notified and requested, the DGAC authorities have paid little attention., Security has been terribly degraded by the deplorable management of all the authorities who, with the excuse of keeping the service always operable, force them to work with all the failures in the systems., teams, regardless of the human factor, capabilities, etc. an institution that has been filled with corruption and the risk of a plane crash occurring is high, all due to the negligence of all authorities, that many do not even have the academic preparation, high school graduates or technologists occupying director positions, coordinators etc., and in some cases with little aeronautical knowledge, finger-pointing or appointees through political levers. It has been filled with lazy people who do not even go to their jobs and only designate tasks and if it is not fulfilled they sanction or threaten it.. Unfortunately, this is the reality and I hope an airplane accident does not occur so that everything comes to light, although surely the ICAO is aware of all this problem and I hope it takes action to combat so much negligence..
greetings and thanks for your comment.