✈️ Эксклюзивные преимущества для читателей
Проверенные коды, чтобы сэкономить в следующей поездке.
ВЫКЛЮЧЕННЫЙ
Страхование путешествий
Международная страховка для путешествий по всему миру.
ВЫКЛЮЧЕННЫЙ
Скидка на чипсы.
Международная электронная SIM-карта для путешествий по всему миру.
La Organización de Aviación Civil Internacional – ИКАО hizo públicas sus preocupaciones a la seguridad operacional relativa a los servicios de navegación de Эквадор.
Tras la auditoría a la seguridad operacional realizada por ICAO al Эквадор между 4 у 18 сентябрь 2023 мимо, la organización internacional encontró dos SSC de preocupación y que con fecha 22 ноябрь 2023 остаются нерешенными.
Следует отметить, que esta auditoria fue aprobada por el Consejo de la OACI en su sesión 179 как механизм решения существенных проблем безопасности SSC, выявленных агентством. Según este mecanismo, Обо всех обнаруженных и неустраненных SSC необходимо уведомить все заинтересованные стороны. 187 Государства-члены, acción que ya fue realizada.
Auditoría OACI – Проблемы безопасности эквадорских операций
конкретно, Выявленные опасения заключаются в следующем:
- La Dirección Nacional de Aviación Civil (ЦАП) обнародовал постановление 210 «Telecomunicaciones Aeronáuticas», в которых прописаны сроки испытаний радиотехнических средств в соответствии с Документом 8071 de la OACI — Manual sobre ensayo de radioayudas para la navegación, Volumen I Ensayo de sistemas de radionavegación de base terrestre.A pesar de las múltiples comunicaciones de vigilancia de la entidad de seguridad operacional emitidas alertando sobre la recurrente expiración en los plazos requeridos para los vuelos de inspección, el Estado ha permitido mantener en operación la totalidad de las radioayudas asociadas a operaciones internacionales sin las respectivas verificaciones en vuelo con la periodicidad prescrita en el citado reglamento 21
- Немедленные корректирующие меры: Ecuador debería retirar temporalmente del servicio todas las ayudas para la navegación asociadas a las operaciones internacionales cuya periodicidad de inspección en vuelo haya caducado de acuerdo con los plazos previstos en el reglamento 210; до тех пор, пока не будут проведены соответствующие летные проверки и соответствующий орган по надзору за безопасностью не подтвердит их результаты..
- La Dirección Nacional de Aviación Civil (ЦАП) обнародовал постановление 211 «Servicios de Transito Aéreo», en el cual se prescribe la utilización de los criterios de diseño para el diseño de procedimientos de vuelo de conformidad con el Documento 8168 de la OACI — Procedimientos para los servicios de navegación Aérea — Operación de aeronaves, Volumen II —Construcción cle procedimientos de vuelo visual y por instrumentos.Sin embargo, no existe un proceso de aprobación que asegure que los procedimientos de vuelo por instrumentos (ИФП) соответствовать критериям, обнародованным государством, и что IFP соблюдают меры контроля качества процесса.. no hay evidencia de validación en vuelo de los procedimientos como parte del desarrollo inicial y tampoco como parte de los exámenes periódicos para confirmar, среди прочего, que el franqueamiento de obstáculos es adecuado.
- Немедленные корректирующие меры: Ecuador debería suspender todos aquellos IFP cuya validación en vuelo no se haya realizado en los últimos 5 годы; hasta que asegure que los IFP están diseñados de conformidad con los criterios del Estado y que se cumplen con las medidas de control de la calidad del proceso (incluida la validación en vuelo respecto a la verificación de franqueamiento de obstáculos).
- Краткосрочные корректирующие меры: Ecuador debería establecer e implementar un proceso de aprobación que asegure que los IFP están diseñados de conformidad con los criterios del Estado y que se cumplen con las medidas de control de la calidad del proceso (incluida la validación en vuelo respecto a la verificación de franqueamiento de obstáculos).
Действия Эквадора
Необходимо отметить, что Эквадор vía la autoridad aeronáutica, presentó las medidas correctivas propuestas para iniciar su cumplimiento desde el 10 в октябре прошлого года.
Para conocer más detalles de lo hecho ya por el estado ecuatoriano, entrevisté en exclusiva a William Birkett Director General de Aviación Civil del Ecuador, quien nos compartió más detalles de este proceso y las medidas tomadas por la DGAC:
Если они остаются нерешенными после 90, serán publicadas en la web de ICAO de forma permanente y pública.
Важно подчеркнуть, что, несмотря на эти открытия, la operación y seguridad aérea en Ecuador están garantizadas, с проблемами, которые нужно исправить, pero para tranquilidad de los viajeros los profesionales responsables están altamente capacitados para sus funciones.
¿Cuáles son las implicaciones posibles para Ecuador?
Es conocido que las auditorias de la OACI al hacerse públicas en sus sistemas, generan que las agencias internacionales de aviación conozcan de la situación y puedan generar recomendaciones para sus aerolíneas. Una de ellas sin duda podría ser la FAA, что, как мы знаем и видели в недавних случаях, как это было с Мексика, tras una auditoria propia tomó la decisión de degradar a Categoría II a este país, que implicó un freno por más de 2 años al desarrollo de rutas y destinos con США.
Определенно, este punto es el de mayor preocupación para el desarrollo de rutas de nuestro país, что подарить, frenaría el desarrollo de nuevas rutas hacia США de las aerolíneas ecuatorianas interesadas.
¿Qué es la auditoria de la OACI – УППКБП?
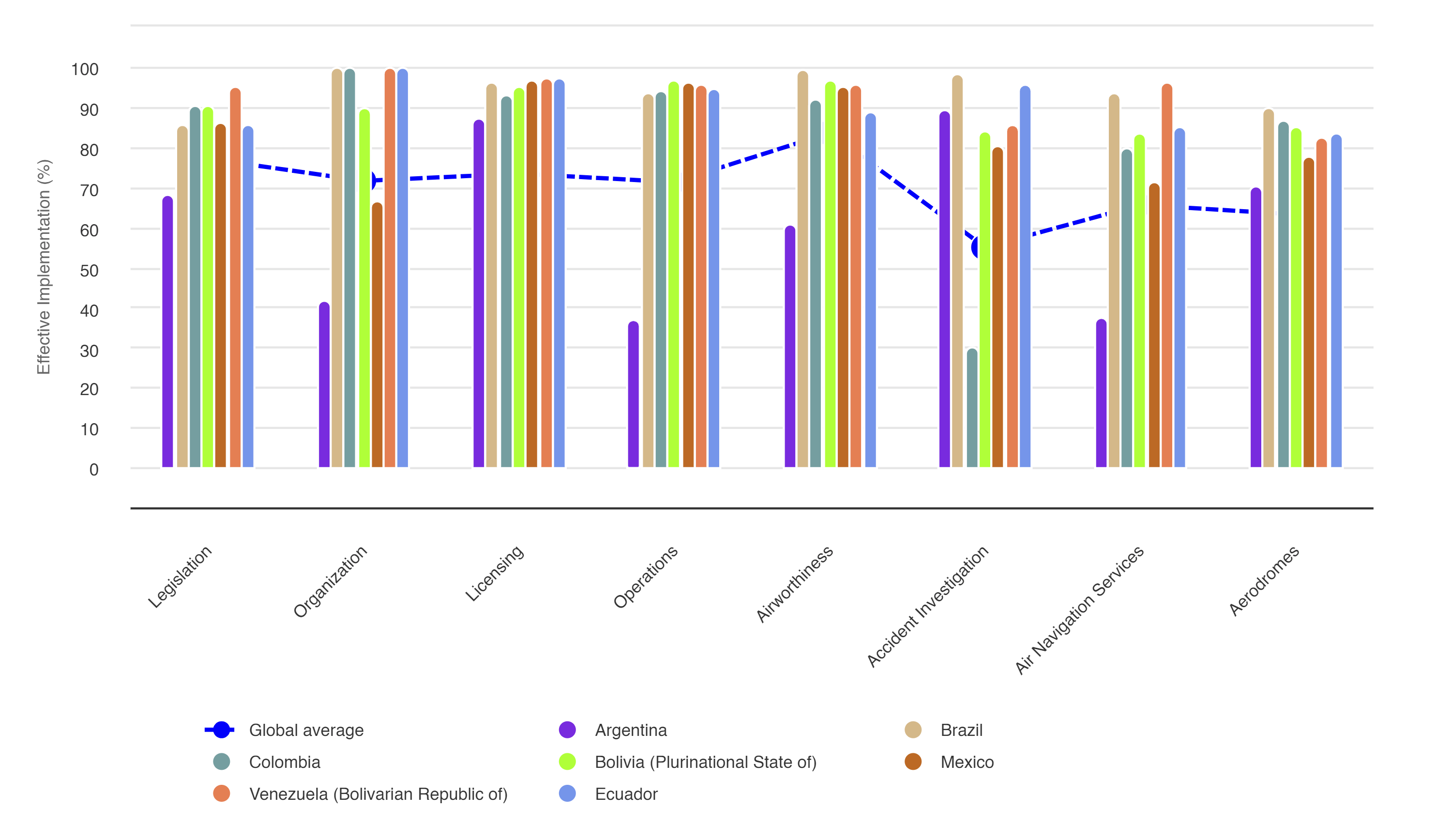
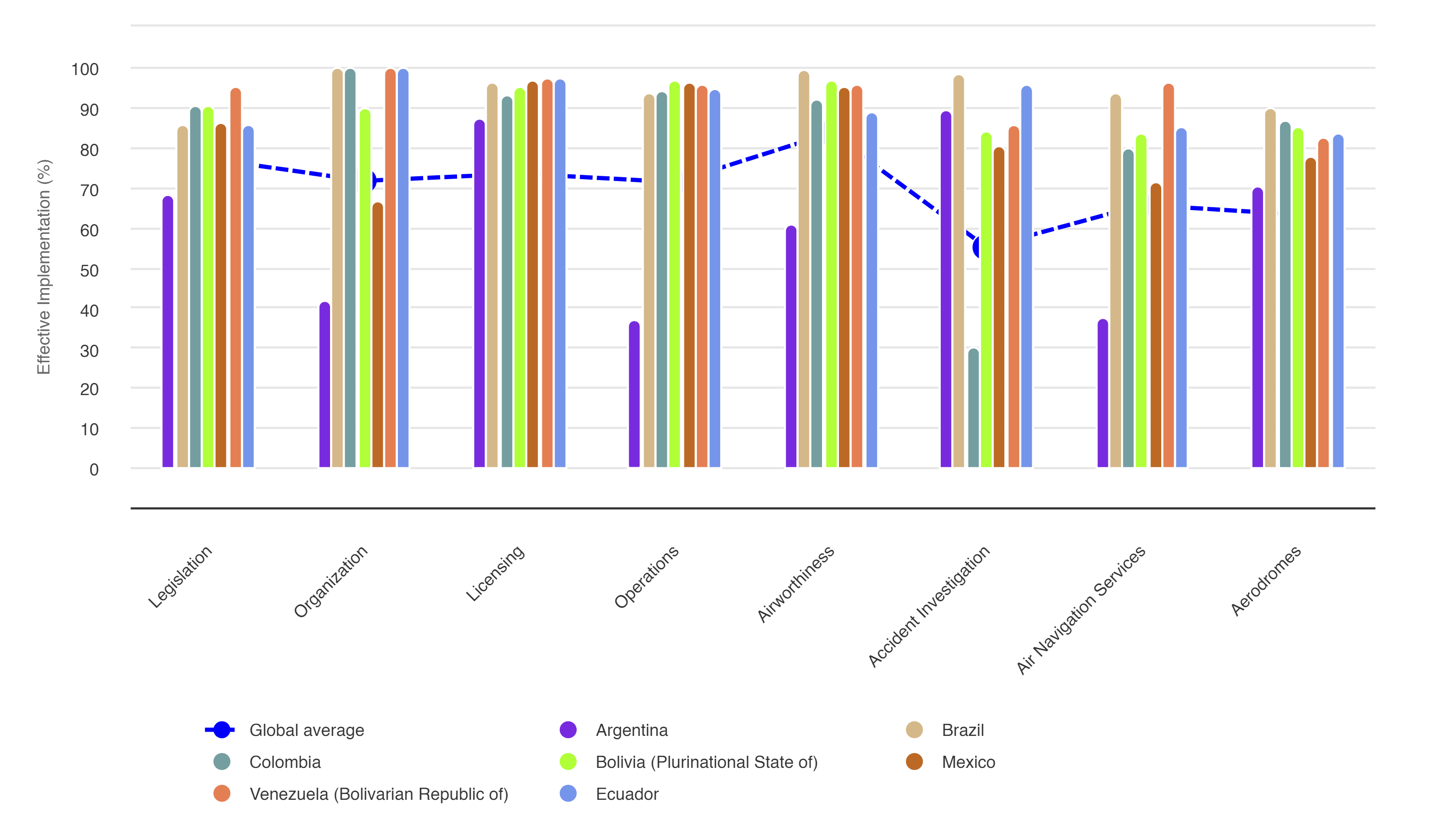
El Programa universal de auditoría de la vigilancia de la seguridad operacional (УППКБП) es un programa a través del cual la OACI monitorea el cumplimiento de las obligaciones de vigilancia de la seguridad operacional por parte de sus Estados miembros. Los resultados de las actividades del USOAP permiten a la OACI evaluar la capacidad de un Estado para brindar vigilancia de la seguridad operacional al evaluar si el Estado ha implementado de manera eficaz y consistente los ocho elementos críticos (СЕ) системы наблюдения за эксплуатационной безопасностью, que le permiten al Estado garantizar la implementación de los objetivos de seguridad operacional de la OACI. -Normas y prácticas recomendadas (САРПС) relacionadas y procedimientos y material de orientación asociados.
Las ocho áreas de auditoría del sistema de aviación de un Estado miembro que supervisa el programa son:
- Legislación primaria de aviación y reglamentos de aviación civil (НОГА)
- Organización de Aviación Civil (ОРГ)
- Licenciamiento y capacitación de personal (ПЭЛ)
- Операции с самолетами (ОПС)
- Летная годность самолета (ВОЗДУХ)
- Investigación de accidentes e incidentes de aviación (АИГ)
- Servicios de Navegación Aérea (АНС)
- Aeródromos y Ayudas Terrestres (НО)
Auditorías pasadas
В качестве ссылки, comparto con ustedes cómo le fue a Ecuador en su última auditoría OACI que se realizó en el año 2015:

До настоящего времени, Результат не был окончательно опубликован на веб-сайте ИКАО., так что пока делюсь данными 2015, versus otros países de la región, где Аргентина, Бразилия и Колумбия уже были его частью.:

Es importante aquí indicar que esta auditoría no determina que Ecuador vaya a perder la Categoría I, pero sí pone en alerta a otros estados miembros de OACI, кому нравится США, podrían generar acciones adicionales que afectarían a nuestro país en caso de concretarse y no haberse solventado.
Seguiremos informando según nueva información se conozca de esta auditoria y de una potencial visita de la Федеральное управление гражданской авиации para revisión de estas preocupaciones encontradas por parte de la ИКАО.
✈️ Эксклюзивные преимущества для читателей
Ищите здесь отели по всему миру по лучшей цене.





И результаты проверок отсутствуют (ФГЭ) многие покидают государственные учреждения и оставляют проблемы, как и бывший директор, Государственные закупки должны измениться или исчезнуть, поскольку они были созданы с целью установить контроль, но также стали жертвой коррупции., Не дай Бог, чтобы случилось что-нибудь неприятное, чтобы они осознали, что им нужно делать.
Спасибо за ваш вклад.
и это мало, В КСР ужасная администрация и власть мало заинтересована в решении проблем. Технический персонал должен пройти испытания, чтобы его права были признаны., Просто зайдите на страницу судебной власти, чтобы узнать обо всех судебных процессах против DSC.. Нехватка технического персонала во всех сферах, системы и оборудование, которые больше не служат или имеют серьезные недостатки. Технический персонал обязан устранять все неисправности в системах и оборудовании., не заботясь о безопасности полетов. Абсурдное оправдание того, что аэронавигационное обслуживание не может быть приостановлено, несмотря на сбои в радиолокационных системах., авиационные частоты, и радиосредства приводят к авиакатастрофе. Люди с небольшими знаниями в области авиации, занимающие высокие должности, выпускники школ или технологи, занимающие руководящие должности, координаторы, боссы аэропорта, так далее. все обозначено пальцем или политическими рычагами. Наверняка в ИКАО всё это знают и я надеюсь, что будут приняты решительные меры., Многие люди в DAC ленивы, даже не тратят время на свою работу и занимаются только назначением задач, а если они не выполняются, они угрожают или санкционируют их.. В интересах авиации было бы полезно, чтобы проверки DAC проводились чаще и на всех уровнях..
Спасибо за ваш вклад.
коррупция в ЦАП ужасна, чего можно было ожидать.
Я ценю ваш вклад, но вы могли бы расширить свое обвинение, чтобы узнать его глубже?
и это ничто по сравнению со всеми административными нарушениями, технический персонал, который следит за испытаниями, чтобы их права были признаны, нехватка персонала в технических областях, таких как метеорология, аис, воздушное движение, операции, так далее. системы и оборудование, которые не работают или имеют недостатки, например, авиационные частоты, используемые для связи с пилотами., радиосредства с постоянными сбоями, радары с постоянными неисправностями, и несмотря на то, что решения были уведомлены и запрошены, власти DGAC не обратили на это особого внимания., Безопасность ужасно ухудшена плачевным руководством всех властей, которые под предлогом поддержания постоянной работоспособности службы заставляют их работать со всеми сбоями в системах., оборудование, независимо от человеческого фактора, возможности, так далее. учреждение, наполненное коррупцией и риск авиакатастрофы высок, все из-за халатности всех властей, что у многих нет даже академической подготовки, выпускники школ или технологи, занимающие руководящие должности, координаторы и т. д., и в некоторых случаях с небольшими знаниями в области авиации, указание пальцем на назначенцев с помощью политических рычагов. Его заполонили ленивцы, которые даже на работу не ходят, а только ставят задачи, а в случае невыполнения санкционируют или угрожают.. К сожалению, это реальность, и я надеюсь, что авиакатастрофы не произойдет, и все станет известно, хотя, конечно, ИКАО знает обо всей этой проблеме, и я надеюсь, что она примет меры для борьбы с такой халатностью..
привет и спасибо за ваш комментарий.