✈️ Avantages exclusifs pour les lecteurs
Codes vérifiés à économiser lors de votre prochain voyage.
DÉSACTIVÉ
Assurance voyage
Assurance internationale pour voyager à travers le monde.
L'Organisation de l'aviation civile internationale – OACI a rendu publiques ses préoccupations en matière de sécurité opérationnelle concernant les services de navigation Équateur.
Suite à l'audit de sécurité opérationnelle réalisé par l'OACI à Équateur entre lui 4 et 18 septembre 2023 passé, L'organisation internationale a trouvé deux SSC préoccupants et ceux-ci dataient 22 novembre 2023 restent en suspens.
Ça devrait être noté, que cet audit a été approuvé par le Conseil de l'OACI lors de sa session 179 comme mécanisme permettant de répondre aux préoccupations importantes en matière de sécurité opérationnelle de SPC identifiées par l'agence. Selon ce mécanisme, Tous les SSC détectés et non résolus doivent être notifiés à toutes les parties prenantes. 187 États membres, action déjà réalisée.
Audit de l'OACI – Problèmes de sécurité pour les opérations de l'Équateur
concrètement, Les soucis constatés sont les suivants:
- La Direction Nationale de l'Aviation Civile (CAD) a promulgué le règlement 210 «Telecomunicaciones Aeronáuticas», au cours desquelles les périodes d'essai des aides radio sont prescrites conformément au document 8071 de la OACI — Manual sobre ensayo de radioayudas para la navegación, Tome I Test des systèmes de radionavigation terrestres Malgré les multiples communications de surveillance émises par l'entité de sécurité opérationnelle alertant sur l'expiration récurrente des délais requis pour les vols d'inspection, L'État a permis que toutes les aides radio associées aux opérations internationales soient maintenues en fonctionnement sans les vérifications en vol respectives avec la périodicité prescrite dans la réglementation susmentionnée. 21
- Mesures correctives immédiates: L'Équateur devrait temporairement retirer du service toutes les aides à la navigation associées aux opérations internationales dont la périodicité des inspections en vol a expiré conformément aux délais prévus par la réglementation. 210; jusqu'à ce que les inspections en vol correspondantes soient effectuées et que l'unité de surveillance de la sécurité concernée valide ses résultats.
- La Direction Nationale de l'Aviation Civile (CAD) a promulgué le règlement 211 «Servicios de Transito Aéreo», qui prescrit l'utilisation de critères de conception pour la conception des procédures de vol conformément au Document 8168 de la OACI — Procedimientos para los servicios de navegación Aérea — Operación de aeronaves, Volumen II —Construcción cle procedimientos de vuelo visual y por instrumentos.Sin embargo, Il n'existe aucun processus d'approbation pour garantir que les procédures de vol aux instruments (SI P) respecter les critères édictés par l'État et que les PFI respectent les mesures de contrôle de qualité du processus.. il n'existe aucune preuve d'une validation en vol des procédures dans le cadre du développement initial ou dans le cadre des examens périodiques pour confirmer, entre autres, que le franchissement des obstacles est adéquat.
- Mesures correctives immédiates: L'Équateur devrait suspendre tous les IFP dont la validation en vol n'a pas été effectuée au cours des dernières 5 années; jusqu'à ce qu'il s'assure que les PFI sont conçus conformément aux critères de l'État et que les mesures de contrôle de la qualité des procédés sont respectées (y compris la validation en vol concernant la vérification du franchissement d'obstacles).
- Mesures correctives à court terme: L'Équateur devrait établir et mettre en œuvre un processus d'approbation garantissant que les PFI sont conçus conformément aux critères de l'État et que les mesures de contrôle de la qualité des processus sont respectées. (y compris la validation en vol concernant la vérification du franchissement d'obstacles).
Les actions menées par l'Équateur
Il convient de noter que Équateur via l'autorité aéronautique, a présenté les mesures correctives proposées pour commencer à se conformer à 10 octobre dernier.
Pour connaître plus de détails sur ce qui a déjà été fait par l'État équatorien, J'ai interviewé exclusivement William Birkett, directeur général de l'aviation civile de l'Équateur, qui a partagé plus de détails sur ce processus et les mesures prises par la DGAC:
Si ces problèmes restent non résolus après 90, Ils seront publiés de manière permanente et publique sur le site Internet de l’OACI..
Il est important de souligner que malgré ces découvertes, Les opérations aériennes et la sécurité en Équateur sont garanties, avec des problèmes à corriger, Mais pour la tranquillité d'esprit des voyageurs, les professionnels responsables sont hautement qualifiés pour leurs fonctions..
¿Cuáles son las implicaciones posibles para Ecuador?
On sait que les audits de l'OACI, lorsqu'ils sont rendus publics dans leurs systèmes,, Ils veillent à ce que les agences aéronautiques internationales soient conscientes de la situation et puissent formuler des recommandations à l'intention de leurs compagnies aériennes.. L’un d’eux pourrait sans aucun doute être la FAA, ce qui, comme nous le savons et l'avons vu dans des cas récents, comme ce fut le cas avec Mexique, Après son propre audit, il a pris la décision de rétrograder Catégorie II vers ce pays, qui impliquait un freinage de plus de 2 années au développement de routes et de destinations avec États Unis.
Sans doute, Ce point est celui qui préoccupe le plus pour le développement des routes dans notre pays., quoi donner, ralentirait le développement de nouvelles routes vers États Unis des compagnies aériennes équatoriennes intéressées.
¿Qué es la auditoria de la OACI – USOAP?
Le programme universel d’audit de supervision de la sécurité (USOAP) est un programme par lequel l’OACI surveille le respect des obligations de supervision de la sécurité par ses États membres.. Les résultats des activités de l'USOAP permettent à l'OACI d'évaluer la capacité d'un État à assurer la supervision de la sécurité en évaluant si l'État a mis en œuvre de manière efficace et cohérente les huit éléments critiques. (CE) d’un système de surveillance de la sécurité opérationnelle, qui permettent à l’État de garantir la mise en œuvre des objectifs de sécurité opérationnelle de l’OACI. -Normes et pratiques recommandées (SARPS) procédures et documents d'orientation connexes et associés.
Les huit domaines d'audit du système aéronautique d'un État membre qui supervise le programme sont:
- Législation aéronautique primaire et réglementation de l'aviation civile (JAMBE)
- Organisation de l'aviation civile (ORG)
- Licences et formation du personnel (PEL)
- Opérations aériennes (FPO)
- Navigabilité des aéronefs (AIR)
- Enquêtes sur les accidents et incidents d'aviation (AIG)
- Services de navigation aérienne (AN)
- Aérodromes et aides au sol (MAIS)
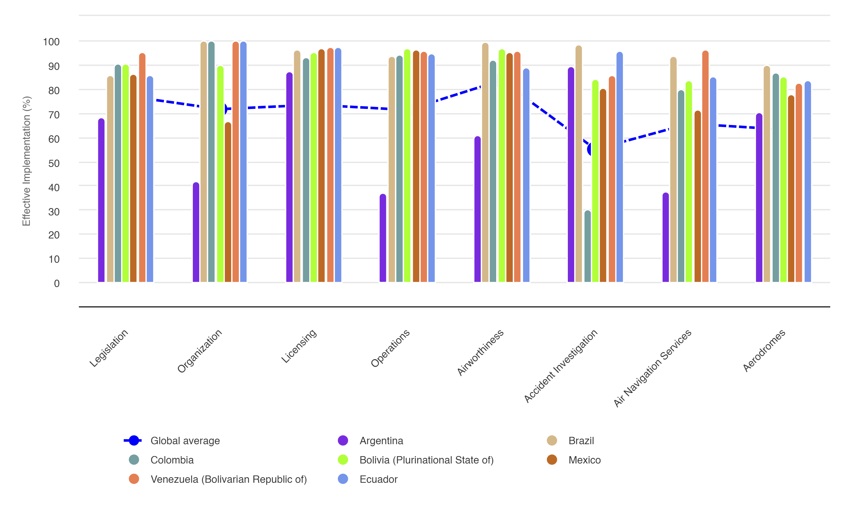
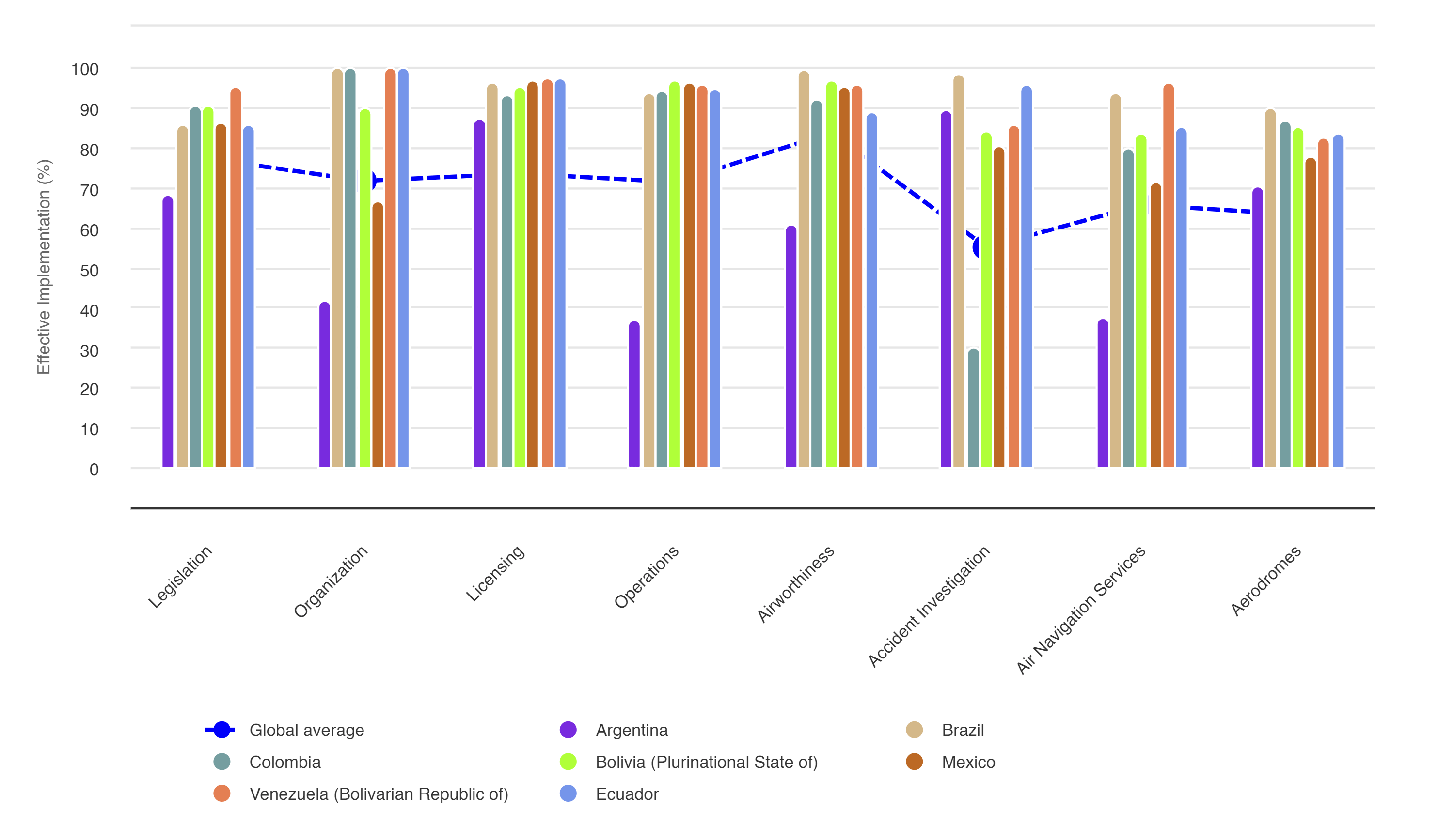
Vérifications passées
Comme référence, Je partage avec vous comment l'Équateur s'est comporté lors de son dernier audit de l'OACI réalisé au cours de l'année 2015:

Jusqu'au moment, Le résultat n'a pas été définitivement publié sur le site de l'OACI, donc pour l'instant je partage les données 2015, par rapport aux autres pays de la région, où l'Argentine, Le Brésil et la Colombie en faisaient déjà partie:

Il est important d'indiquer ici que cet audit ne détermine pas que l'Équateur va perdre la catégorie I., mais cela met les autres États membres de l'OACI en alerte, qui aime États Unis, pourraient générer des actions supplémentaires qui affecteraient notre pays si elles étaient menées et n’étaient pas résolues..
Nous continuerons à vous informer au fur et à mesure que de nouvelles informations seront connues concernant cet audit et une éventuelle visite du FAA pour l'examen de ces préoccupations trouvées par le OACI.
.
✈️ Avantages exclusifs pour les lecteurs
Busca aquí hoteles en TODO el mundo al mejor precio.





Et les résultats des audits manquent (FGE) beaucoup quittent les institutions publiques et quittent les problèmes, tout comme sûrement l'ancien réalisateur, Les marchés publics doivent changer ou disparaître puisqu'ils ont été créés avec la volonté de mettre le contrôle mais ils ont aussi succombé à la corruption., À Dieu ne plaise que quelque chose de malheureux arrive afin qu’ils prennent conscience de ce qu’ils doivent faire.
Merci pour votre contribution.
et c'est peu, Il y a une administration épouvantable au sein du CAD et les autorités ont peu d’intérêt à résoudre les problèmes.. Le personnel technique doit suivre les essais pour que ses droits soient reconnus, Il suffit de consulter la page judiciaire pour connaître tous les procès contre le DSC. Manque de personnel technique dans tous les domaines, les systèmes et équipements qui ne servent plus ou qui présentent de graves défauts. Le personnel technique est obligé de travailler avec toutes les pannes des systèmes et des équipements, sans se soucier de la sécurité aérienne. L'excuse absurde selon laquelle les services de navigation aérienne ne peuvent pas être suspendus malgré les pannes des systèmes radar, fréquences aéronautiques, et les aides radio conduisent à un accident d'avion. Des personnes ayant peu de connaissances aéronautiques occupant des postes élevés, diplômés du secondaire ou technologues occupant des postes de direction, coordinateurs, patrons d'aéroport, etc. tout est désigné au doigt ou par des leviers politiques. L'OACI est certainement au courant de tout cela et j'espère que des mesures drastiques seront prises., De nombreuses personnes sont paresseuses au sein du CAD, ne consacrent même pas de temps à leur travail et se consacrent uniquement à l'attribution de tâches et si elles ne sont pas remplies, elles les menacent ou les sanctionnent.. Pour le bénéfice de l’aviation, il serait bon que les audits DAC soient davantage suivis et à tous les niveaux..
Merci pour votre contribution.
la corruption au CAD est terrible, à quoi pouvait-on s'attendre.
J'apprécie votre contribution, mais tu pourrais élargir ton accusation pour la connaître en profondeur?
et ce n'est rien comparé à toutes les irrégularités administratives, du personnel technique qui suit les essais pour que leurs droits soient reconnus, manque de personnel dans des domaines techniques tels que la météorologie, ais, trafic aérien, opérations, etc. les systèmes et équipements qui ne fonctionnent pas ou présentent des déficiences comme les fréquences aéronautiques utilisées pour communiquer avec les pilotes, aides radio avec des pannes constantes, radars avec défauts permanents, et bien qu'ils aient été alertés et demandé des solutions, les autorités de la DGAC n'y ont prêté que peu d'attention., La sécurité a été terriblement dégradée par la gestion déplorable de toutes les autorités qui, sous prétexte de maintenir le service toujours opérationnel, les obligent à travailler avec toutes les défaillances des systèmes., équipement, quel que soit le facteur humain, capacités, etc. une institution remplie de corruption et le risque d'accident d'avion est élevé, tout cela à cause de la négligence de toutes les autorités, que beaucoup n'ont même pas la préparation académique, diplômés du secondaire ou technologues occupant des postes de direction, coordinateurs, etc., et dans certains cas avec peu de connaissances aéronautiques, pointer du doigt ou nommer des personnes via des leviers politiques. Il est rempli de paresseux qui ne vont même pas à leur travail et se contentent de désigner des tâches et si elles ne sont pas remplies, ils les sanctionnent ou les menacent.. Malheureusement, c'est la réalité et j'espère qu'il n'y aura pas d'accident d'avion pour que tout soit révélé, même si l'OACI est sûrement consciente de tout ce problème et j'espère qu'elle prendra des mesures pour lutter contre tant de négligence..
salutations et merci pour votre commentaire.