✈️ Benefícios exclusivos para leitores
Códigos verificados para economizar em sua próxima viagem.
La Organización de Aviación Civil Internacional – ICAO hizo públicas sus preocupaciones a la seguridad operacional relativa a los servicios de navegación de Equador.
Tras la auditoría a la seguridad operacional realizada por ICAO al Equador entre ele 4 y 18 setembro 2023 passado, la organización internacional encontró dos SSC de preocupación y que con fecha 22 novembro 2023 Eles ainda estão sem resolver.
Deve-se notar, que esta auditoria fue aprobada por el Consejo de la OACI en su sesión 179 Como um mecanismo para abordar preocupações operacionais significativas que o SSC detectado pela agência. Según este mecanismo, Tudo o SSC detectado e que não foram resolvidos devem ser notificados para todos 187 Estados membros, acción que ya fue realizada.
Auditoría OACI – Operações de segurança de segurança do Equador
Concretamente, As preocupações encontradas são as seguintes:
- La Dirección Nacional de Aviación Civil (DAC) promulgou os regulamentos 210 «Telecomunicaciones Aeronáuticas», em que os períodos de suporte de rádio são prescritos de acordo com o documento 8071 de la OACI — Manual sobre ensayo de radioayudas para la navegación, Volumen I Ensayo de sistemas de radionavegación de base terrestre.A pesar de las múltiples comunicaciones de vigilancia de la entidad de seguridad operacional emitidas alertando sobre la recurrente expiración en los plazos requeridos para los vuelos de inspección, el Estado ha permitido mantener en operación la totalidad de las radioayudas asociadas a operaciones internacionales sin las respectivas verificaciones en vuelo con la periodicidad prescrita en el citado reglamento 21
- Medidas corretivas imediatas: Ecuador debería retirar temporalmente del servicio todas las ayudas para la navegación asociadas a las operaciones internacionales cuya periodicidad de inspección en vuelo haya caducado de acuerdo con los plazos previstos en el reglamento 210; Até que as inspeções de voo correspondentes sejam realizadas e a respectiva unidade de vigilância de segurança operacional valida seus resultados.
- La Dirección Nacional de Aviación Civil (DAC) promulgou os regulamentos 211 «Servicios de Transito Aéreo», en el cual se prescribe la utilización de los criterios de diseño para el diseño de procedimientos de vuelo de conformidad con el Documento 8168 de la OACI — Procedimientos para los servicios de navegación Aérea — Operación de aeronaves, Volumen II —Construcción cle procedimientos de vuelo visual y por instrumentos.Sin embargo, no existe un proceso de aprobación que asegure que los procedimientos de vuelo por instrumentos (Ifp) Eles estão em conformidade com os critérios promulgados pelo Estado e que o IFP cumpre as medidas para controlar a qualidade do processo.. no hay evidencia de validación en vuelo de los procedimientos como parte del desarrollo inicial y tampoco como parte de los exámenes periódicos para confirmar, entre outros, que el franqueamiento de obstáculos es adecuado.
- Medidas corretivas imediatas: Ecuador debería suspender todos aquellos IFP cuya validación en vuelo no se haya realizado en los últimos 5 anos; hasta que asegure que los IFP están diseñados de conformidad con los criterios del Estado y que se cumplen con las medidas de control de la calidad del proceso (incluida la validación en vuelo respecto a la verificación de franqueamiento de obstáculos).
- Medidas corretivas de curto prazo: Ecuador debería establecer e implementar un proceso de aprobación que asegure que los IFP están diseñados de conformidad con los criterios del Estado y que se cumplen con las medidas de control de la calidad del proceso (incluida la validación en vuelo respecto a la verificación de franqueamiento de obstáculos).
As ações realizadas pelo Equador
Deve-se notar que Equador vía la autoridad aeronáutica, presentó las medidas correctivas propuestas para iniciar su cumplimiento desde el 10 Outubro passado.
Para conocer más detalles de lo hecho ya por el estado ecuatoriano, entrevisté en exclusiva a William Birkett Director General de Aviación Civil del Ecuador, quien nos compartió más detalles de este proceso y las medidas tomadas por la DGAC:
Se estes ainda estiverem sem resolução 90, serán publicadas en la web de ICAO de forma permanente y pública.
Importante enfatize que, apesar dessas descobertas, la operación y seguridad aérea en Ecuador están garantizadas, Com tópicos para corrigir, pero para tranquilidad de los viajeros los profesionales responsables están altamente capacitados para sus funciones.
¿Cuáles son las implicaciones posibles para Ecuador?
Es conocido que las auditorias de la OACI al hacerse públicas en sus sistemas, generan que las agencias internacionales de aviación conozcan de la situación y puedan generar recomendaciones para sus aerolíneas. Una de ellas sin duda podría ser la FAA, que como conhecemos e vimos em casos recentes como foi com México, tras una auditoria propia tomó la decisión de degradar a Categoría II a este país, que implicó un freno por más de 2 años al desarrollo de rutas y destinos con Estados Unidos.
Definitivamente, este punto es el de mayor preocupación para el desarrollo de rutas de nuestro país, O que acontecer, frenaría el desarrollo de nuevas rutas hacia Estados Unidos de las aerolíneas ecuatorianas interesadas.
¿Qué es la auditoria de la OACI – Usoap?
El Programa universal de auditoría de la vigilancia de la seguridad operacional (Usoap) es un programa a través del cual la OACI monitorea el cumplimiento de las obligaciones de vigilancia de la seguridad operacional por parte de sus Estados miembros. Los resultados de las actividades del USOAP permiten a la OACI evaluar la capacidad de un Estado para brindar vigilancia de la seguridad operacional al evaluar si el Estado ha implementado de manera eficaz y consistente los ocho elementos críticos (CE) de um sistema de vigilância de segurança operacional, que le permiten al Estado garantizar la implementación de los objetivos de seguridad operacional de la OACI. -Normas y prácticas recomendadas (SARPS) relacionadas y procedimientos y material de orientación asociados.
Las ocho áreas de auditoría del sistema de aviación de un Estado miembro que supervisa el programa son:
- Legislación primaria de aviación y reglamentos de aviación civil (PERNA)
- Organización de Aviación Civil (Org)
- Licenciamiento y capacitación de personal (Por)
- Operações de aeronaves (Ops)
- Aeronaves aeronaves (AR)
- Investigación de accidentes e incidentes de aviación (Aig)
- Servicios de Navegación Aérea (Ans)
- Aeródromos y Ayudas Terrestres (Mas)
Auditorías pasadas
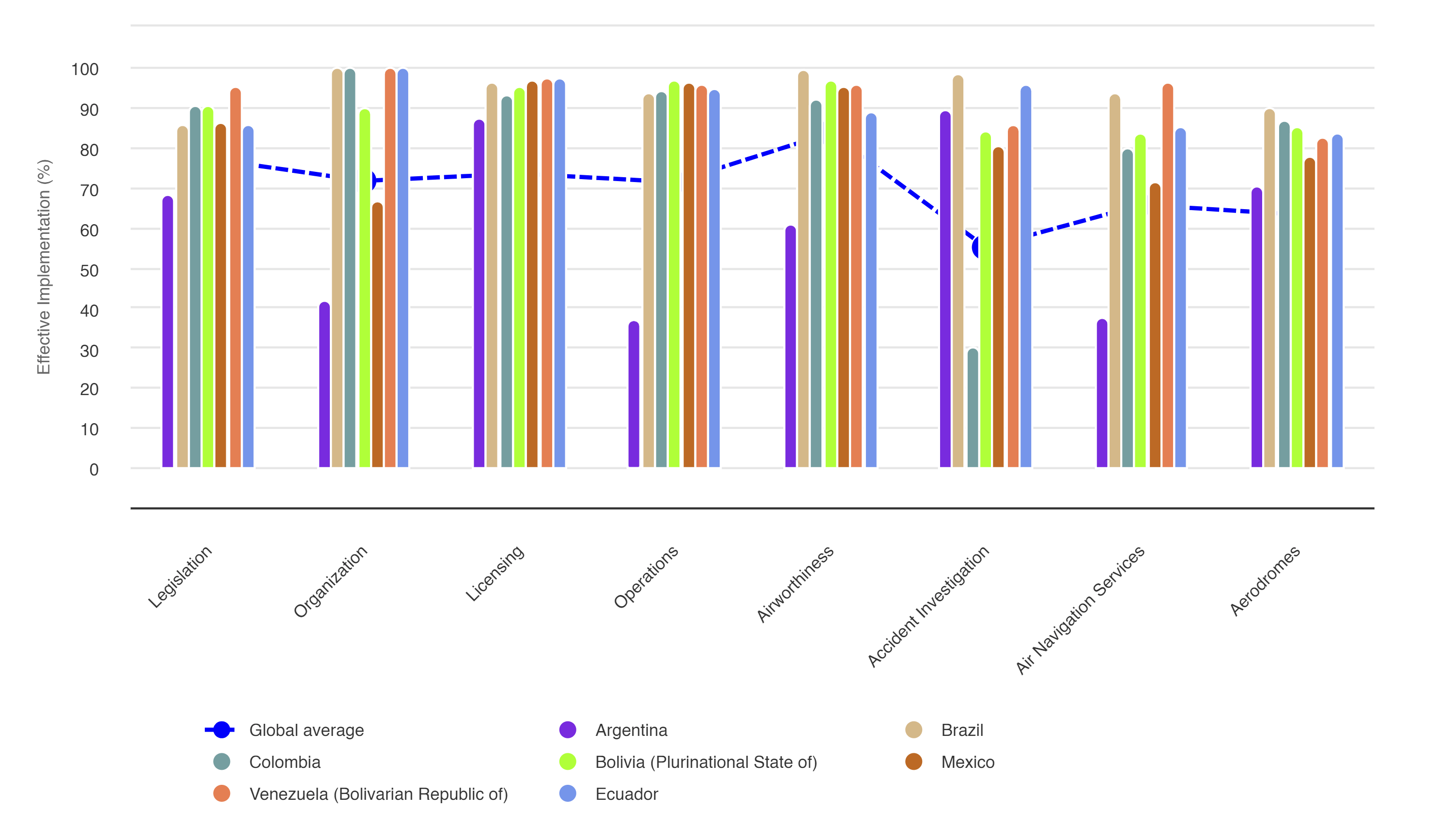
Como referência, comparto con ustedes cómo le fue a Ecuador en su última auditoría OACI que se realizó en el año 2015:

Até o momento, O resultado não foi publicado definitivamente no site da ICAO, Então, por enquanto, eu compartilho os dados 2015, versus otros países de la región, Onde argentina, Brasil e Colômbia já faziam parte do mesmo:

Es importante aquí indicar que esta auditoría no determina que Ecuador vaya a perder la Categoría I, pero sí pone en alerta a otros estados miembros de OACI, quem gosta Estados Unidos, podrían generar acciones adicionales que afectarían a nuestro país en caso de concretarse y no haberse solventado.
Seguiremos informando según nueva información se conozca de esta auditoria y de una potencial visita de la FAA para revisión de estas preocupaciones encontradas por parte de la ICAO.
✈️ Benefícios exclusivos para leitores
Pesquise aqui hotéis em TODO o mundo com o melhor preço.





E faltam os resultados das auditorias (FGE) Muitos deixam instituições públicas e deixam problemas, Com certeza do ex -diretor, As compras públicas devem mudar ou desaparecer, pois foi criada com o desejo de colocar o controle, mas sucumbiu à corrupção também, Deus não quer algo infeliz para ter um longo tempo, eles tomam conhecimento do que têm que fazer
Obrigado pela sua contribuição.
e isso é pouco, Há uma administração tecelada no DAC e pouco interessou às autoridades para resolver os problemas. O pessoal técnico deve seguir os julgamentos para que seus direitos sejam reconhecidos, Basta verificar a página do judiciário para conhecer todos os julgamentos contra o DSC. Falta de pessoal técnico em todas as áreas, sistemas e equipamentos que não servem mais ou têm falhas graves. O pessoal técnico é forçado a trabalhar com todas as falhas em sistemas e equipamentos, independentemente da segurança aérea. A desculpa absurda de que os serviços de navegação aérea não podem ser suspensos, apesar das falhas dos sistemas de radar, frequências aeronáuticas, E o radioaydas está levando ao que ocorre um acidente de avião. Pessoas com pouco conhecimento aeronáutico ocupando altas posições, Bachareles ou tecnologia ocupando posições de diretores, Coordenadores, Chefes do aeroporto, etc. Tudo é designado pelo dedo ou por alavancas políticas. Claro que o ICAO sabe tudo isso e, esperançosamente, medidas drásticas são tomadas, Muitas pessoas vagas no DAC que nem sequer passam em seus empregos e apenas se dedicam à designação de tarefas e, se não forem cumpridas, ameaçam ou sancionam. Para o benefício da aviação, seria bom que as auditorias do DAC fossem mais seguidas e em todos os níveis.
Obrigado pela sua contribuição.
a corrupção no DAC é terrível, o que poderia ser esperado.
Eu aprecio sua contribuição, Mas você pode expandir sua acusação para conhecê -lo em profundidade?
e isso não é nada comparado com todas as irregularidades administrativas, pessoal técnico que segue julgamentos para reconhecer seus direitos, Falta de pessoal em áreas técnicas, como meteorologia, AIS, TRANSIT AIR, operações, etc. sistemas e equipamentos que não funcionam ou têm deficiências como frequências aeronáuticas que servem para se comunicar com pilotos, Radioayudas com falhas constantes, Radares com falhas permanentes, E apesar do fato de as soluções terem sido notificadas e solicitadas pouca atenção às autoridades do DGAC, A segurança foi terrivelmente degradada pelo gerenciamento deplorável de todas as autoridades que, com a desculpa de manter a força de serviço sempre operável para trabalhar com todos os sistemas falhas, equipes, Independentemente do fator humano, capacidades, etc. Uma instituição que foi preenchida com corrupção e o risco de um acidente de avião é alto, Tudo pela negligência de todas as autoridades, que até muitos nem sequer têm preparação acadêmica, Solteiros ou tecnologias ocupando cargos de diretores, coordenadores etc., E em alguns casos com pouco conhecimento aeronáutico, designações de dedos ou designadas por alavancas políticas. Foi cheio de pessoas vagas que nem sequer passam em seus empregos e apenas projetam tarefas e, se não forem cumpridas, eles sancionam ou ameaçam. Infelizmente, essa é a realidade e, esperançosamente.
saudações e obrigado pelo seu comentário.