✈️ Exklusive Vorteile für Leser
Verifizierte Codes zum Sparen bei Ihrer nächsten Reise.
Die Internationale Zivilluftfahrtorganisation – OACI machte seine Bedenken hinsichtlich der Betriebssicherheit in Bezug auf Navigationsdienste öffentlich Ecuador.
Im Anschluss an das von der ICAO durchgeführte Betriebssicherheitsaudit bei Ecuador zwischen 4 und 18 September 2023 vorbei an, Die internationale Organisation stellte fest, dass zwei besorgniserregende SSCs veraltet waren 22 November 2023 bleiben ungelöst.
Es sollte notiert werden, dass diese Prüfung vom ICAO-Rat in seiner Sitzung genehmigt wurde 179 als Mechanismus zur Bewältigung erheblicher SSC-Betriebssicherheitsbedenken, die von der Agentur festgestellt wurden. Nach diesem Mechanismus, Alle erkannten und nicht gelösten SSCs müssen allen Beteiligten mitgeteilt werden. 187 Mitgliedsstaaten, Aktion, die bereits durchgeführt wurde.
ICAO-Prüfung – Sicherheitsbedenken hinsichtlich der Operationen Ecuadors
konkret, Die festgestellten Bedenken sind die folgenden:
- Die Nationale Direktion für Zivilluftfahrt (DAC) hat die Verordnung erlassen 210 «Luftfahrt-Telekommunikation», in denen gemäß dem Dokument Prüffristen für Funkgeräte vorgeschrieben sind 8071 ICAO – Handbuch zum Testen von Funknavigationshilfen, Band I Test von landgestützten Funknavigationssystemen. Trotz mehrfacher Überwachungsmitteilungen der Betriebssicherheitsstelle, die auf den wiederkehrenden Ablauf der Fristen für Inspektionsflüge aufmerksam machen, Der Staat hat zugelassen, dass alle Funkgeräte im Zusammenhang mit internationalen Einsätzen ohne die entsprechenden Überprüfungen während des Fluges mit der in der oben genannten Verordnung vorgeschriebenen Häufigkeit in Betrieb gehalten werden. 21
- Sofortige Korrekturmaßnahmen: Ecuador sollte gemäß den in den Vorschriften vorgesehenen Fristen alle Navigationshilfen im Zusammenhang mit internationalen Flügen, deren Inspektionsperiode während des Fluges abgelaufen ist, vorübergehend außer Dienst stellen. 210; bis die entsprechenden Flugkontrollen durchgeführt sind und die jeweilige Sicherheitsaufsicht ihre Ergebnisse validiert.
- Die Nationale Direktion für Zivilluftfahrt (DAC) hat die Verordnung erlassen 211 «Flugverkehrsdienste», welches die Verwendung von Entwurfskriterien für die Gestaltung von Flugverfahren gemäß dem Dokument vorschreibt 8168 ICAO – Verfahren für Flugsicherungsdienste – Luftfahrzeugbetrieb, Band II – Konstruktion von Sicht- und Instrumentenflugverfahren. Jedoch, Es gibt kein Genehmigungsverfahren, um sicherzustellen, dass Instrumentenflugverfahren durchgeführt werden (WENN P) die vom Staat erlassenen Kriterien einhalten und dass die IFPs die Qualitätskontrollmaßnahmen des Prozesses einhalten. Darüber hinaus. Es gibt keine Hinweise auf eine Validierung der Verfahren während des Fluges als Teil der anfänglichen Entwicklung oder als Teil der regelmäßigen Überprüfungen zur Bestätigung, unter anderen, dass der Hindernisabstand ausreichend ist.
- Sofortige Korrekturmaßnahmen: Ecuador sollte alle IFPs aussetzen, deren In-Flight-Validierung zuletzt nicht durchgeführt wurde 5 Jahre; bis sichergestellt ist, dass die IFPs gemäß den Kriterien des Staates konzipiert sind und die Maßnahmen zur Prozessqualitätskontrolle erfüllt sind (einschließlich der Validierung während des Fluges hinsichtlich der Überprüfung der Hindernisfreiheit).
- Kurzfristige Korrekturmaßnahmen: Ecuador sollte ein Genehmigungsverfahren einrichten und umsetzen, das sicherstellt, dass IFPs gemäß den Kriterien des Staates entworfen werden und dass Maßnahmen zur Prozessqualitätskontrolle eingehalten werden. (einschließlich der Validierung während des Fluges hinsichtlich der Überprüfung der Hindernisfreiheit).
Die von Ecuador durchgeführten Aktionen
Es sollte erwähnt werden, dass Ecuador über die Luftfahrtbehörde, stellte die vorgeschlagenen Korrekturmaßnahmen vor, um mit der Einhaltung beginnen zu können 10 letzten Oktober.
Erfahren Sie mehr darüber, was der ecuadorianische Staat bereits getan hat, Ich habe exklusiv William Birkett, Generaldirektor der Zivilluftfahrt von Ecuador, interviewt, der weitere Einzelheiten zu diesem Prozess und den von der DGAC ergriffenen Maßnahmen mitteilte:
Wenn diese danach ungelöst bleiben 90, Sie werden dauerhaft und öffentlich auf der ICAO-Website veröffentlicht..
Es ist wichtig, dies trotz dieser Entdeckungen zu betonen, Flugbetrieb und Sicherheit in Ecuador sind gewährleistet, mit Problemen, die behoben werden müssen, Aber damit die Reisenden beruhigt sein können, sind die verantwortlichen Fachkräfte für ihre Aufgaben bestens ausgebildet..
Was sind die möglichen Auswirkungen für Ecuador??
Es ist bekannt, dass ICAO-Prüfungen, wenn sie in ihren Systemen veröffentlicht werden,, Sie stellen sicher, dass internationale Luftfahrtbehörden über die Situation informiert sind und Empfehlungen für ihre Fluggesellschaften erarbeiten können.. Eine davon könnte zweifellos die FAA sein, was, wie wir wissen und in den letzten Fällen gesehen haben, wie es mit war Mexiko, Nach einer eigenen Prüfung entschied es sich für eine Herabstufung Kategorie II für dieses Land, was eine Bremse für mehr als mit sich brachte 2 Jahre an der Entwicklung von Routen und Zielen mit Vereinigte Staaten von Amerika.
Bestimmt, Dieser Punkt ist für die Entwicklung der Strecken in unserem Land von größter Bedeutung, was man geben soll, würde die Entwicklung neuer Routen verlangsamen Vereinigte Staaten von Amerika interessierter ecuadorianischer Fluggesellschaften.
Was ist das ICAO-Audit? – USOAP?
Das Universal Safety Oversight Audit Program (USOAP) ist ein Programm, mit dem die ICAO die Einhaltung der Sicherheitsaufsichtspflichten ihrer Mitgliedstaaten überwacht.. Die Ergebnisse der USOAP-Aktivitäten ermöglichen es der ICAO, die Fähigkeit eines Staates zur Gewährleistung der Sicherheitsaufsicht zu beurteilen, indem beurteilt wird, ob der Staat die acht kritischen Elemente wirksam und konsequent umgesetzt hat. (CE) eines Betriebssicherheitsüberwachungssystems, die es dem Staat ermöglichen, die Umsetzung der ICAO-Ziele im Bereich der Betriebssicherheit zu gewährleisten. -Standards und empfohlene Praktiken (SARPS) zugehörige und zugehörige Verfahren und Anleitungsmaterial.
Die acht Prüfungsbereiche des Luftfahrtsystems eines Mitgliedstaats, der das Programm überwacht, sind:
- Primäre Luftfahrtgesetzgebung und zivile Luftfahrtvorschriften (BEIN)
- Zivilluftfahrtorganisation (ORG)
- Lizenzierung und Schulung des Personals (PEL)
- Flugbetrieb (OPS)
- Lufttüchtigkeit von Flugzeugen (LUFT)
- Untersuchung von Flugunfällen und Zwischenfällen (AIG)
- Flugsicherungsdienste (ANTWORT)
- Flugplätze und Bodenhilfen (ABER)
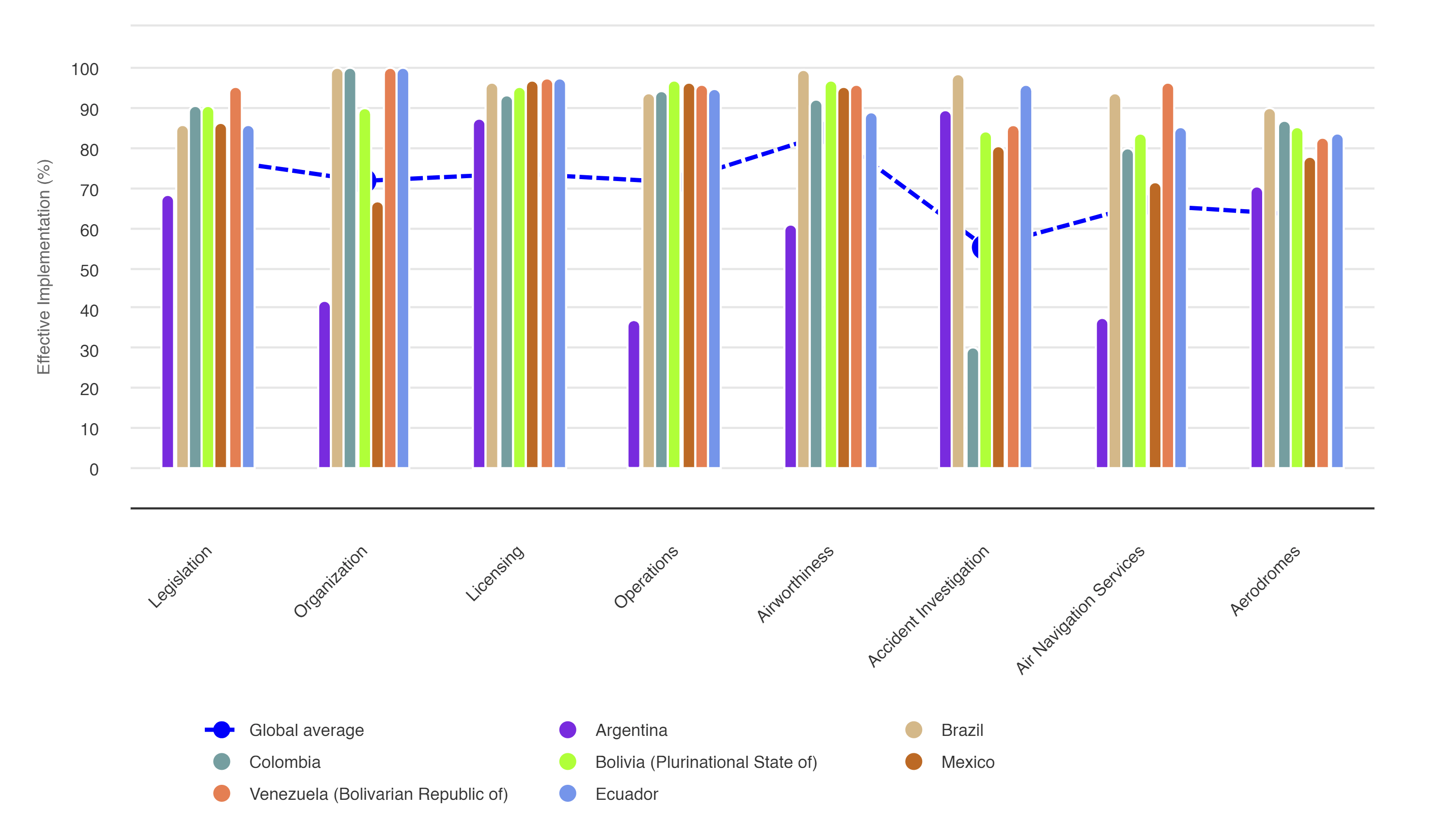
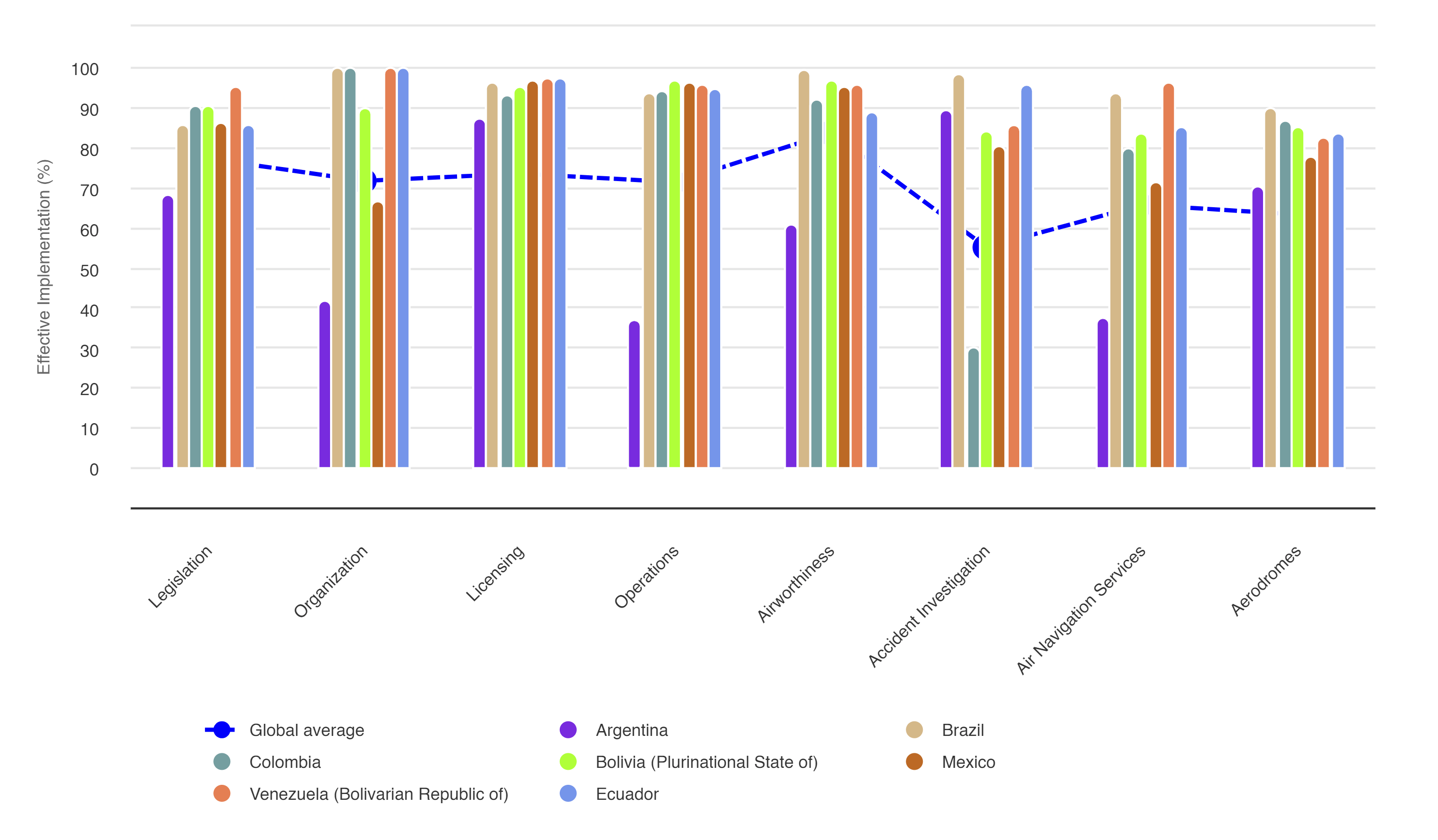
Vergangene Audits
Als Referenz, Ich erzähle Ihnen, wie Ecuador bei seinem letzten ICAO-Audit in diesem Jahr abgeschnitten hat 2015:

Bis jetzt, Das Ergebnis wurde nicht endgültig auf der ICAO-Website veröffentlicht, Daher teile ich vorerst die Daten 2015, im Vergleich zu anderen Ländern in der Region, wo Argentinien, Brasilien und Kolumbien gehörten bereits dazu:

An dieser Stelle muss darauf hingewiesen werden, dass diese Prüfung nicht zu dem Schluss kommt, dass Ecuador die Kategorie I verlieren wird, Aber es versetzt andere ICAO-Mitgliedstaaten in Alarmbereitschaft, Wer mag Vereinigte Staaten von Amerika, könnten zusätzliche Maßnahmen nach sich ziehen, die sich auf unser Land auswirken würden, wenn sie durchgeführt und nicht gelöst würden..
Wir werden Sie weiterhin informieren, sobald neue Informationen zu diesem Audit und einem möglichen Besuch von bekannt werden FAA zur Überprüfung dieser von der Kommission festgestellten Bedenken OACI.
✈️ Exklusive Vorteile für Leser
Suchen Sie hier nach Hotels auf der ganzen Welt zum besten Preis.





Und die Ergebnisse der Audits fehlen (FGE) Viele verlassen öffentliche Einrichtungen und hinterlassen Probleme, ebenso sicherlich der ehemalige Direktor, Das öffentliche Beschaffungswesen muss sich ändern oder verschwinden, da es mit dem Wunsch geschaffen wurde, Kontrolle auszuüben, aber auch der Korruption erlegen ist., Gott bewahre, dass etwas Unglückliches passiert, damit ihnen bewusst wird, was sie tun müssen.
Danke für deinen Beitrag.
und das ist wenig, Es gibt eine schreckliche Verwaltung im DAC und die Behörden hatten wenig Interesse an der Lösung der Probleme. Technisches Personal muss Gerichtsverfahren befolgen, damit seine Rechte anerkannt werden, Schauen Sie einfach auf der Seite „Justiz“ nach, um alle Prozesse gegen den DSC zu erfahren. Mangel an technischem Personal in allen Bereichen, Systeme und Geräte, die nicht mehr funktionieren oder schwerwiegende Mängel aufweisen. Das technische Personal ist verpflichtet, alle Störungen an Systemen und Geräten zu beheben, ohne sich um die Flugsicherheit zu kümmern. Die absurde Ausrede, dass der Flugsicherungsdienst trotz Ausfällen der Radarsysteme nicht eingestellt werden könne, Flugfrequenzen, und Funkhilfen führen zu einem Flugzeugabsturz. Menschen mit geringen Luftfahrtkenntnissen in hohen Positionen, Abiturienten oder Technologen, die Direktorenpositionen bekleiden, Koordinatoren, Flughafenchefs, etc. alles wird mit dem Finger oder mit politischen Hebeln bezeichnet. Sicherlich weiß die ICAO das alles und ich hoffe, dass drastische Maßnahmen ergriffen werden, Viele Leute im DAC sind faul, verbringen nicht einmal Zeit mit ihrer Arbeit und widmen sich nur der Zuweisung von Aufgaben, und wenn sie nicht erfüllt werden, drohen oder sanktionieren sie sie.. Zum Nutzen der Luftfahrt wäre es gut, wenn DAC-Prüfungen auf allen Ebenen stärker befolgt würden..
Danke für deinen Beitrag.
Die Korruption im DAC ist schrecklich, was zu erwarten war.
Ich schätze Ihren Beitrag, aber Sie könnten Ihre Anschuldigung erweitern, um sie genauer zu kennen?
und das ist nichts im Vergleich zu all den Verwaltungsunregelmäßigkeiten, technisches Personal, das Gerichtsverfahren verfolgt, damit seine Rechte anerkannt werden, Personalmangel in technischen Bereichen wie der Meteorologie, ais, Luftverkehr, Operationen, etc. Systeme und Geräte, die nicht funktionieren oder Mängel aufweisen, wie z. B. die Flugfrequenzen, die für die Kommunikation mit Piloten verwendet werden, Funkgeräte mit ständigen Ausfällen, Radargeräte mit permanenten Fehlern, Und trotz der Tatsache, dass Lösungen mitgeteilt und angefordert wurden, haben die DGAC-Behörden wenig Aufmerksamkeit geschenkt., Die Sicherheit wurde durch das bedauernswerte Management aller Behörden, die sie unter dem Vorwand, den Dienst immer betriebsbereit zu halten, zwingen, mit allen Ausfällen in den Systemen zu arbeiten, schrecklich verschlechtert., Ausrüstung, unabhängig vom menschlichen Faktor, Fähigkeiten, etc. eine Institution voller Korruption und das Risiko eines Flugzeugabsturzes ist hoch, Alles aufgrund der Nachlässigkeit aller Behörden, dass viele nicht einmal über die akademische Vorbereitung verfügen, Abiturienten oder Technologen, die Direktorenpositionen bekleiden, Koordinatoren usw., und in einigen Fällen mit geringen Luftfahrtkenntnissen, Schuldzuweisungen oder Ernennungen durch politische Hebel. Es ist voller fauler Leute, die nicht einmal zu ihrer Arbeit gehen und nur Aufgaben benennen, und wenn diese nicht erfüllt werden, sanktionieren oder drohen sie.. Leider ist dies die Realität, und ich hoffe, dass es nicht zu einem Flugzeugunfall kommt, sodass alles ans Licht kommt, obwohl die ICAO sich dieser Problematik sicherlich bewusst ist und ich hoffe, dass sie Maßnahmen ergreift, um so viel Nachlässigkeit zu bekämpfen..
Grüße und danke für deinen Kommentar.