✈️ Vantaggi esclusivi per i lettori
Codici verificati per risparmiare sul tuo prossimo viaggio.
SPENTO
Assicurazione di viaggio
Assicurazione internazionale per viaggiare in tutto il mondo.
SPENTO
Sconto sulle patatine
E-sim internazionale per viaggiare in tutto il mondo.
L'Organizzazione per l'aviazione civile internazionale – OACI ha reso pubbliche le sue preoccupazioni in materia di sicurezza operativa per quanto riguarda i servizi di navigazione Ecuador.
A seguito dell'audit sulla sicurezza operativa effettuato dall'ICAO presso Ecuador fra 4 e 18 settembre 2023 passato, L'organizzazione internazionale ha riscontrato due SSC preoccupanti e datati 22 novembre 2023 rimanere irrisolto.
Dovrebbe essere notato, che tale audit è stato approvato dal Consiglio dell'ICAO nella sua sessione 179 come meccanismo per affrontare i problemi significativi di sicurezza operativa del SSC identificati dall'agenzia. Secondo questo meccanismo, Tutti gli SSC rilevati e non risolti devono essere notificati a tutte le parti interessate. 187 stati membri, azione che è già stata eseguita.
Controllo dell'ICAO – Preoccupazioni per la sicurezza delle operazioni dell'Ecuador
concretamente, Le preoccupazioni riscontrate sono le seguenti:
- La Direzione Nazionale dell'Aviazione Civile (DAC) ha promulgato il regolamento 210 «Telecomunicaciones Aeronáuticas», in cui i periodi di prova del radioaiuto sono prescritti in conformità al Documento 8071 de la OACI — Manual sobre ensayo de radioayudas para la navegación, Volume I Test dei sistemi di radionavigazione terrestri Nonostante le molteplici comunicazioni di sorveglianza emesse dall'ente di sicurezza operativa che allertavano sulla ricorrente scadenza dei termini richiesti per i voli di ispezione, Lo Stato ha consentito che tutti i radioassistimenti connessi ad operazioni internazionali siano mantenuti in esercizio senza le rispettive verifiche in volo con la periodicità prescritta nel citato regolamento. 21
- Misure correttive immediate: L’Ecuador dovrebbe ritirare temporaneamente dal servizio tutti gli aiuti alla navigazione associati ad operazioni internazionali la cui periodicità di ispezione in volo è scaduta secondo le scadenze previste dalla normativa. 210; fino all'effettuazione delle corrispondenti ispezioni di volo e alla convalida dei risultati da parte della rispettiva unità di supervisione della sicurezza.
- La Direzione Nazionale dell'Aviazione Civile (DAC) ha promulgato il regolamento 211 «Servicios de Transito Aéreo», che prescrive l'utilizzo di criteri di progettazione per la progettazione delle procedure di volo in conformità al Documento 8168 de la OACI — Procedimientos para los servicios de navegación Aérea — Operación de aeronaves, Volumen II —Construcción cle procedimientos de vuelo visual y por instrumentos.Sin embargo, Non esiste un processo di approvazione per garantire che le procedure di volo strumentale (IFP) rispettare i criteri promulgati dallo Stato e che gli IFP rispettino le misure di controllo della qualità del processo. non vi è evidenza di validazione in volo delle procedure nell'ambito dello sviluppo iniziale o nell'ambito degli esami periodici di conferma, tra gli altri, che la distanza dagli ostacoli sia adeguata.
- Misure correttive immediate: L’Ecuador dovrebbe sospendere tutti quegli IFP la cui convalida in volo non è stata effettuata negli ultimi 5 anni; fino a quando non si assicura che gli IFP siano progettati in conformità con i criteri dello Stato e che le misure di controllo della qualità del processo siano soddisfatte (compresa la convalida in volo relativa alla verifica dell'eliminazione degli ostacoli).
- Misure correttive a breve termine: L'Ecuador dovrebbe stabilire e attuare un processo di approvazione che garantisca che gli IFP siano progettati in conformità con i criteri dello Stato e che le misure di controllo della qualità del processo siano soddisfatte. (compresa la convalida in volo relativa alla verifica dell'eliminazione degli ostacoli).
Le azioni portate avanti dall'Ecuador
Si dovrebbe notare che Ecuador tramite l'autorità aeronautica, ha presentato le proposte di misure correttive per avviare l'adeguamento a partire dal 10 lo scorso ottobre.
Per conoscere più in dettaglio ciò che è già stato fatto dallo Stato ecuadoriano, Ho intervistato esclusivamente William Birkett Direttore Generale dell'Aviazione Civile dell'Ecuador, che hanno condiviso maggiori dettagli su questo processo e sulle misure adottate dalla DGAC:
Se questi rimangono irrisolti dopo 90, Saranno pubblicati sul sito web dell'ICAO in modo permanente e pubblico..
È importante sottolinearlo nonostante queste scoperte, Le operazioni aeree e la sicurezza in Ecuador sono garantite, con problemi da correggere, Ma per la tranquillità dei viaggiatori, i professionisti responsabili sono altamente qualificati per le loro funzioni..
¿Cuáles son las implicaciones posibles para Ecuador?
È noto che gli audit dell’ICAO, quando resi pubblici nei loro sistemi,, Garantiscono che le agenzie aeronautiche internazionali siano consapevoli della situazione e possano generare raccomandazioni per le loro compagnie aeree.. Uno di questi potrebbe senza dubbio essere la FAA, il che, come sappiamo e abbiamo visto in casi recenti, com'era Messico, Dopo il proprio audit, ha deciso di retrocedere Categoria II a questo paese, che ha comportato un freno per più di 2 anni allo sviluppo di rotte e destinazioni con Stati Uniti d'America.
Decisamente, Questo punto è quello di maggiore preoccupazione per lo sviluppo delle rotte nel nostro Paese, cosa regalare, rallenterebbe lo sviluppo di nuove rotte verso Stati Uniti d'America delle compagnie aeree ecuadoriane interessate.
¿Qué es la auditoria de la OACI – USOAP?
Il programma universale di audit di supervisione della sicurezza (USOAP) è un programma attraverso il quale l'ICAO monitora il rispetto degli obblighi di supervisione della sicurezza da parte dei suoi Stati membri.. I risultati delle attività USOAP consentono all'ICAO di valutare la capacità di uno Stato di fornire supervisione sulla sicurezza valutando se lo Stato ha implementato in modo efficace e coerente gli otto elementi critici. (CE) di un sistema di sorveglianza della sicurezza operativa, che consentono allo Stato di garantire l’attuazione degli obiettivi di sicurezza operativa dell’ICAO. -Standard e pratiche consigliate (SARPS) procedure correlate e associate e materiale di orientamento.
Le otto aree di audit del sistema aereo di uno Stato membro che supervisiona il programma sono:
- Legislazione aeronautica primaria e regolamenti dell'aviazione civile (GAMBA)
- Organizzazione per l'aviazione civile (ORG)
- Autorizzazione e formazione del personale (PEL)
- Operazioni aeree (OPS)
- Aeronavigabilità dell'aeromobile (ARIA)
- Indagini su incidenti e inconvenienti aerei (AIG)
- Servizi di navigazione aerea (RISPOSTA)
- Aerodromi e aiuti a terra (MA)
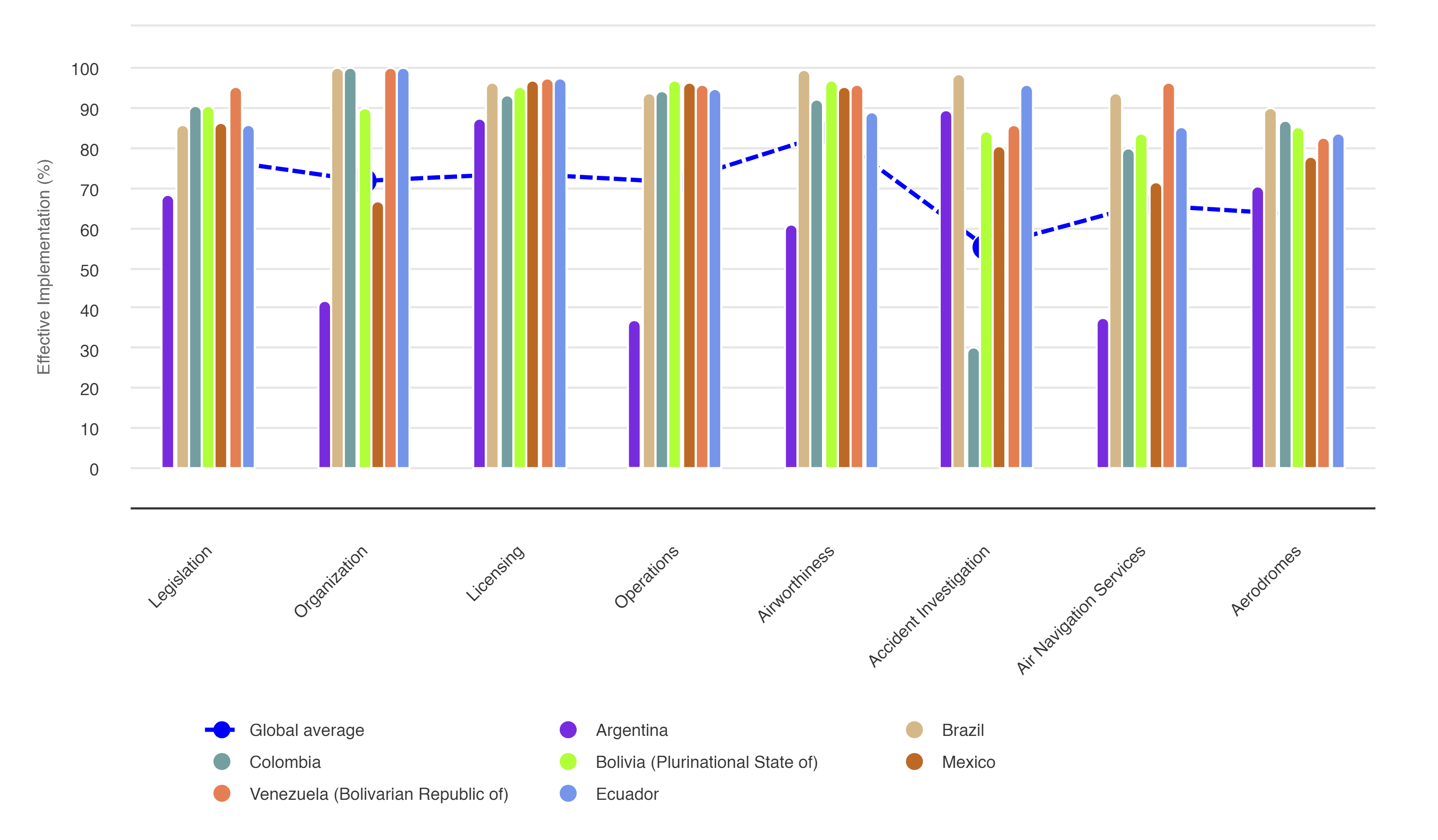
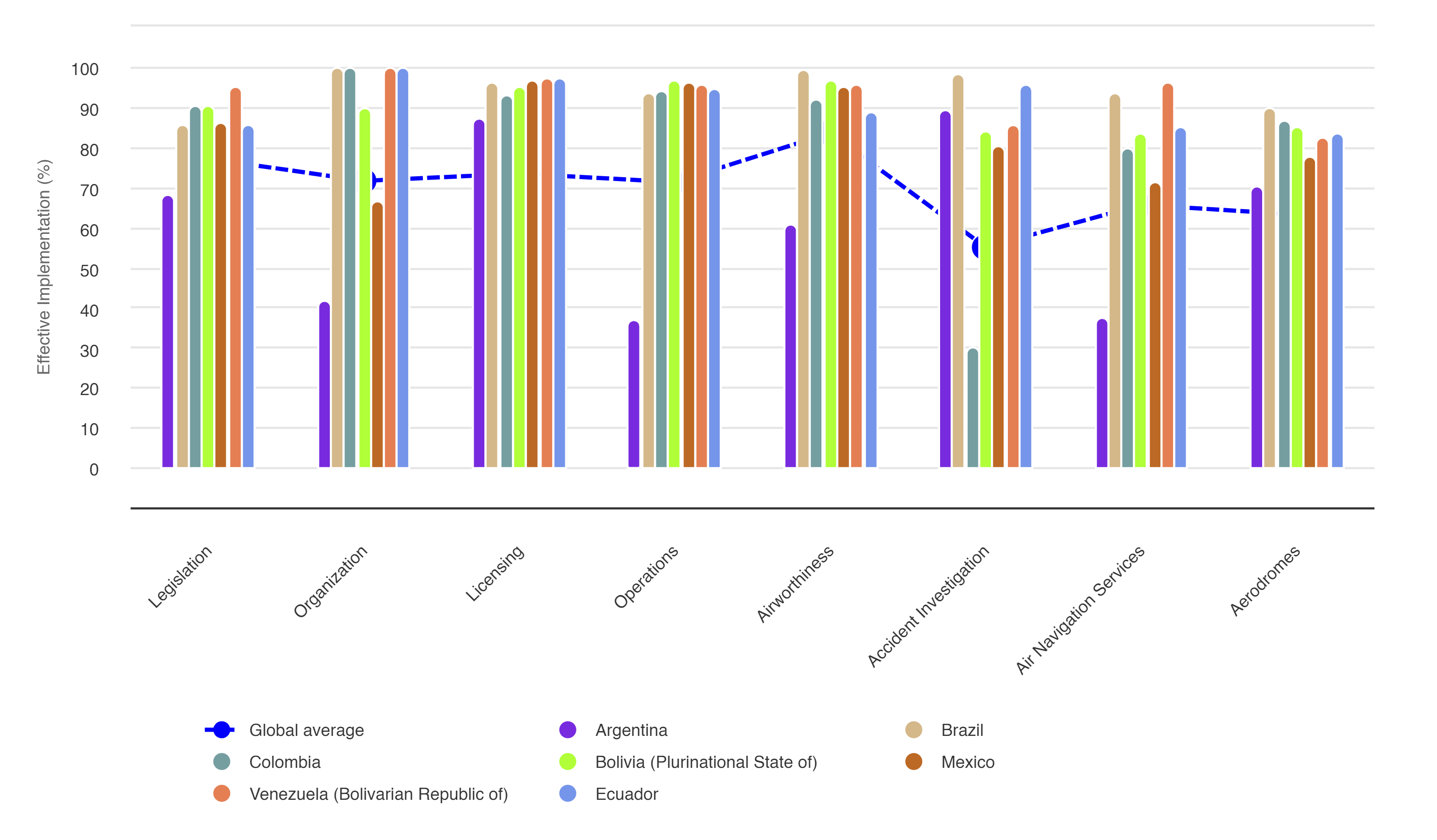
Audit passati
Come riferimento, Condivido con voi come si è comportato l'Ecuador nell'ultimo audit ICAO effettuato quest'anno 2015:

Fino ad ora, Il risultato non è stato pubblicato in via definitiva sul sito dell'ICAO, quindi per ora condivido i dati 2015, rispetto ad altri paesi della regione, dove l'Argentina, Brasile e Colombia ne facevano già parte:

È importante qui sottolineare che questo audit non determina che l’Ecuador perderà la Categoria I, ma mette in allerta gli altri stati membri dell’ICAO, A chi piace Stati Uniti d'America, potrebbero generare ulteriori azioni che avrebbero ripercussioni sul nostro Paese se venissero realizzate e non fossero state risolte..
Continueremo a informarvi non appena verranno rese note nuove informazioni su questo audit e su una potenziale visita da parte del FAA per la revisione di queste preoccupazioni riscontrate dal OACI.
✈️ Vantaggi esclusivi per i lettori
Cerca qui gli hotel in TUTTO il mondo al miglior prezzo.





E mancano i risultati degli audit (FGE) molti lasciano le istituzioni pubbliche e lasciano i problemi, come sicuramente l'ex direttore, Gli appalti pubblici devono cambiare o scomparire poiché sono stati creati con il desiderio di esercitare il controllo ma hanno anche ceduto alla corruzione., Dio non voglia che accada qualcosa di spiacevole affinché possano prendere coscienza di ciò che devono fare.
Grazie per il tuo contributo.
e questo è poco, L’amministrazione del DAC è pessima e le autorità hanno avuto poco interesse a risolvere i problemi. Il personale tecnico deve seguire i processi affinché i suoi diritti siano riconosciuti, Basta consultare la pagina magistratura per scoprire tutti i processi contro la DSC. Mancanza di personale tecnico in tutte le aree, impianti e apparecchiature che non funzionano più o presentano gravi carenze. Il personale tecnico è obbligato a lavorare con tutti i guasti nei sistemi e nelle apparecchiature, senza preoccuparsi della sicurezza aerea. La scusa assurda che i servizi di navigazione aerea non possono essere sospesi nonostante i guasti ai sistemi radar, frequenze aeronautiche, e il radioaiuto sta provocando un incidente aereo. Persone con scarse conoscenze aeronautiche che occupano posizioni elevate, diplomati o tecnologi che occupano posizioni di direttore, coordinatori, capi dell'aeroporto, eccetera. tutto è designato con il dito o con le leve politiche. Sicuramente l’ICAO sa tutto questo e spero che vengano prese misure drastiche, Molte persone sono pigre nel DAC che non dedicano nemmeno tempo al loro lavoro e si dedicano solo all'assegnazione di compiti e se non vengono svolti li minacciano o li sanzionano.. Per il bene dell’aviazione, sarebbe positivo che gli audit DAC fossero maggiormente seguiti e a tutti i livelli..
Grazie per il tuo contributo.
la corruzione nel dac è terribile, cosa ci si poteva aspettare.
Apprezzo il tuo contributo, ma potresti ampliare la tua accusa per conoscerla in profondità?
e questo non è niente in confronto a tutte le irregolarità amministrative, personale tecnico che segue i processi affinché siano riconosciuti i loro diritti, mancanza di personale in settori tecnici come la meteorologia, ais, traffico aereo, operazioni, eccetera. sistemi e apparecchiature che non funzionano o presentano carenze come le frequenze aeronautiche utilizzate per comunicare con i piloti, radioassistenze con continui guasti, radar con guasti permanenti, e nonostante siano state notificate e richieste soluzioni, le autorità della DGAC hanno prestato poca attenzione., La sicurezza è stata terribilmente degradata dalla deplorevole gestione di tutte le autorità che, con la scusa di mantenere il servizio sempre operativo, le costringono a lavorare con tutti i guasti dei sistemi., attrezzatura, indipendentemente dal fattore umano, capacità, eccetera. un'istituzione che è stata piena di corruzione e il rischio che si verifichi un incidente aereo è alto, tutto a causa della negligenza di tutte le autorità, che molti non hanno nemmeno la preparazione accademica, diplomati o tecnologi che occupano posizioni di direttore, coordinatori ecc., e in alcuni casi con poca conoscenza aeronautica, puntare il dito o nominare attraverso le leve politiche. È stato riempito di persone pigre che non vanno nemmeno al lavoro e si limitano a designare compiti e se non vengono adempiuti lo sanzionano o minacciano.. Purtroppo questa è la realtà e spero che non si verifichi un incidente aereo affinché tutto venga alla luce, anche se sicuramente l'ICAO è a conoscenza di tutto questo problema e spero che si attivi per contrastare tanta negligenza..
saluti e grazie per il tuo commento.